Foram encontradas 50 questões.
Considere a seguinte definição de dados:
CREATE TABLE EMPREGADO (NOME | VARCHAR (50) NOT NULL, CPF CHAR (11) NOT NULL, SALARIO INT, PRIMARY KEY (CPF)); em que a tabela EMPREGADO armazena os dados dos empregados que são descritos pelos atributos NOME (nome do empregado), CPE(CPF do empregado) e SALARIO (salário do empregado).
Qual a expressão em SQL que irá obter o salário médio dos empregados?
Provas
Disciplina: TI - Organização e Arquitetura dos Computadores
Banca: Marinha
Orgão: Marinha
Considerando a organização básica de um computador, assinale a opção correta.
Provas
Considere a seguinte definição de dados:
CREATE TABLE EMPREGADO (NOME VARCHAR(50) NOT NULL, CPF CHAR (11) NOT NULL, SALARIO INT, PRIMARY KEY (CPF)); em que a tabela EMPREGADO armazena os dados dos empregados, que são descritos pelos atributos NOME (nome do empregado), CPF(CPF do empregado) e SALARIO (salário do empregado).
Qual a expressão em SQL que irá aumentar em 10% (dez por cento) o salário de todos os empregados?
Provas
- Transmissão de DadosFDDI: Fiber Distributed Data Interface
- Transmissão de DadosMeios de Transmissão
- Transmissão de DadosPadrões IEEE 802IEEE 802.5: Token Ring
O meio físico de transmissão mais utilizado em redes Token Ring e FDDI para ligações de estações ao HUB é
Provas
procedure TChatForm.MemolKeyDown (Sender: TObject; var Key:
Word; Shift: Tshiftstate);
begin
if Key = VK_Return then
Clientsocket . socket. SendText (Memol. Lines [Memol .Lines.Cou nt - 1]);
end;
procedure TChaiForm.ClientSocketCo(nSennedcetr: TObject;
Socket: TCustomWinsocket) ;
begin
Statusbarl.Panels.[T0e]xt := 'Conectado';
end;
Assinale a opção correta em relação ao formulário (com os nomes dos objetos indicados) e ao código-fonte de um programa (ainda em projeto), apresentados acima, desenvolvido em Delphi 6 para um CHAT (bate-papo).
Provas
Disciplina: TI - Organização e Arquitetura dos Computadores
Banca: Marinha
Orgão: Marinha
Correlacione as afirmativas com as palavras reservadas correspondentes (todas as afirmativas devem ser preenchidas com o número relacionado à palavra reservada correspondente e existe uma afirmativa para cada palavraje assinale a opção correta:
I - Informa ao compilador que o valor da variável não pode ser alterado por nenhum comando do programa.
II - Avisa ao compilador que as variáveis que o seguem já foram declaradas em outro lugar.
III - Limita o escopo da variável ao arquivo fonte sendo compilado.
IV - Armazena o valor da variável em um registrador da CPU acelerando operações.
V - Usada para declarar variáveis locais automáticas, mas pode ser omitida por já ser o padrão.
( ) const ( )- auto ( )- extern ( )- static ( )- register
Provas
- Fundamentos de ProgramaçãoOperadoresOperadores Aritméticos
- Fundamentos de ProgramaçãoPonteiros e Referências
- Fundamentos de ProgramaçãoVariáveis
- LinguagensC
int main() {
int y, *P, x;
y = 0;
p = &y;
x = *p;
x=4;
(*p)++;
x++;
(*p) += x;
printf ("y = &d\n", y);
return(0);
)
Que valor será mostrado pelo programa acima?
Provas
Considere a seguinte definição de dados:
CREATE TABLE EMPREGADO (NOME VARCHAR(5SO) NOT NULL, CPF CHAR (11) NOT NULL, SALARIO INT, PRIMARY KEY (CPF)); em que a tabela EMPREGADO armazena os dados dos empregados que são descritos pelos atributos NOME (nome do empregado), CPF(CPF do empregado) e SALARIO (salário do empregado)
Qual a expressão em SQL que irá obter os salários que são pagos aos empregados e, para cada um dos salários, o número de empregados que recebem este mesmo salário?
Provas

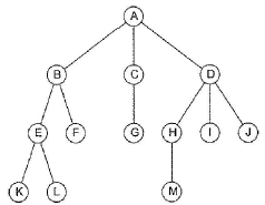
Assinale a opção correta em relação à estrutura de dados do tipo árvore apresentada na figura acima, onde os nós estão denominados por letras de À até M.
Provas
Disciplina: TI - Organização e Arquitetura dos Computadores
Banca: Marinha
Orgão: Marinha
Em que modo de endereçamento o dado é transferido, juntamente com a instrução, da memória para o registrador?
Provas
Caderno Container