Foram encontradas 1.050 questões.
Uma fonte de 240V é conectada em série com dois componentes, sendo que um deles tem uma impedância de 80 | 60º \( \Omega \). Qual a impedância (em \( \Omega \)) do outro componente se a corrente que circula é de 2A e se ela está adiantada da tensão da fonte de 40º?
Dados:
sen 40º = 0,643
cos 40º = 0,766
sen 60º = 0,866
cos 60º = 0,5
Provas
Um transformador de distribuição de 500 KVA, 2300/208 V, 60 Hz, teve seus testes de aceitação constando de um ensaio a vazio e um de curto-circuito antes de ser colocado em serviço como transformador abaixador. Sendo fornecidos os dados obtidos dos ensaios, abaixo, qual a resistência equivalente referida ao lado de baixa?
Dados:
A vazio Vob = 208 V; Iob = 85 A; Po = 1800 W
Curto-circuito: Vcca = 95 V; Icca = 217,5 A; Pcc = 8,2 kW
Provas
Quais são os componentes de um sistema elétrico?
Provas
Um gerador SHUNT, 250 V, 150 kW, possui uma resistência de campo de 50 ohms e uma resistência de armadura de 0,05 ohms. Qual o valor da corrente de plena carga?
Provas
Através de um fio metálico, percorrido por corrente elétrica, verifica-se um deslocamento de
Provas
Observe a figura:

O TC padrão de um equipamento de ensaios tem os seguintes erros: com 100% da corrente nominal o FCRs = 99,91% e \( \beta \)s = 0,2'; com 10% da corrente nominal o FCRs = 100,05% e \( \beta \)s = -0,3'. Este equipamento, ensaiando um TC com a carga C12,5, apresentou as seguintes leituras: com 100% da corrente nominal, erro = -0,24% e ângulo = 0,9'; com 10% da corrente nominal, erro = -0,23% e ângulo = 1,5'. Utilizando os dados da figura acima, é correto afirmar que a classe de exatidão do TC ensaiado é
Provas
Num determinado circuito, uma corrente i=I cos(\( \omega \)t+45º) atravessa um indutor L, um capacitor C e um resistor R, todos em série. As expressões que definem o valor da tensão no indutor, da tensão no capacitor e da tensão no resistor são, respectivamente,
Provas
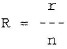
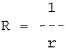
Determine a resistência R do resistor equivalente a n resistores iguais, de resistência r cada um, quando eles são associados em paralelo e assinale a opção correspondente.
Provas
Assinale a opção que completa corretamente o parágrafo abaixo:
No consumo de uma grande quantidade de potência, um elevado fator de potência é desejado. A razão disso é que a solicitada para desenvolver uma determinada potência em uma carga é proporcional ao fator de potência da carga e uma maior solicitação de porque provocará um aumento de perdas de e de potência na linha e nos demais equipamentos de distribuição.
Provas
Observe a figura:

Uma carga "Z", de fator de potência indutivo cos\( \theta \), é submetida à tensão U e percorrida pela corrente I. É correto afirmar que a potência ativa da carga é dada pela expressão
Provas
Caderno Container