Foram encontradas 50 questões.
Disciplina: TI - Organização e Arquitetura dos Computadores
Banca: Marinha
Orgão: Marinha
Considere os seguintes valores binários:
A = 1110 B = 0011 C=1010 D=1011
Dados: \( X = A + \overline{B \cdot} \oplus D \) é
| Símbolo matemático |
Porta Lógica |
| . | AND |
| + | OR |
| - | NOT |
| \( \oplus \) | XOR |
O valor de K na expressão lógica é
Provas
Em grande parte das linguagens de programação, os valores são armazenados em variáveis, as quais permitem que os mesmos sejam usados em diversos pontos do programa. As variáveis globais
Provas
- Fundamentos de ProgramaçãoEstruturas de DadosDefinição: Estrutura de Dados
- Fundamentos de ProgramaçãoEstruturas de DadosEstrutura de Dados: Fila
A estrutura de dados onde as inserções de elementos somente podem ser realizadas em um extremo e as remoções em outro é. denominada.
Provas
A linguagem de programação Java permite a escrita de programas que executam atividades paralelas. Isso é possível por meio da técnica chamada
Provas
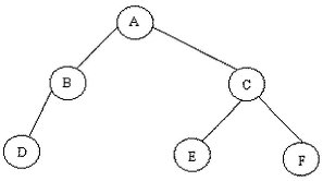
Analise a árvore abaixo.

Qual o percurso, em ordem simétrica, da árvore apresentada?
Provas
Em relação à organização de arquivos, assinale a opção INCORRETA.
Provas
A instrução SQL que remove todas as tuplas da relação Empregado com atributo nome é:
Provas
Uma vez definida a sintaxe e a semântica da linguagem, precisa-se de uma forma eficiente para a implementação de cada um dos elementos da linguagem. Essa implementação é feita por processadores. Qual é o processador que executa cada expressão do programa diretamente sem ter que transformar o programa inteiro em uma unidade de execução?
Provas
Uma transação é uma coleção de operações que desempenha uma função lógica única dentro de uma aplicação do sistema de banco de dados. Para assegurar a integridade dos dados, o sistema de banco de dados deve manter as propriedades ACID (Atomicidade, Consistência, Isolamento, Durabilidade) das transações. Assinale a opção que descreve a propriedade isolamento.
Provas
Em uma linguagem de programação, nome, endereço, valor, tipo, tempo de vida e escopo, são características de
Provas
Caderno Container