Foram encontradas 50 questões.
Com relação à linguagem de programação JAVA, coloque F (falso) ou V (verdadeiro) nas afirmativas abaixo e assinale a opção que apresenta a sequência correta.
( ) Um array pode armazenar muitos tipos de valores diferentes.
( ) Um índice de array deve ser normalmente do tipo float.
( ) Argumentos de linha de comando são separados por vírgula.
( ) A instrução "for" aprimorada permite aos programadores iterar pelos elementos em um array sem utilizar um contador.
Provas
- Gerenciamento de ProcessosEscalonamento de ProcessosAlgoritmo SJF
- Gerenciamento de ProcessosEscalonamento de ProcessosEscalonador Não Preemptivo
Que algoritmo de escalonamento de processos não preemptivo sempre resulta no mínimo tempo médio de resposta para sistemas em lote?
Provas
O protocolo ICMP (Internet Control Message Protocol) é utilizado para fornecer relatórios de erros para o dispositivo que enviou os pacotes. Considerando o modelo OSI, o ICMP pertence à camada de
Provas
Duas pessoas querem comunicar-se com segurança. Para tal, faz-se necessário que:
I - somente o remetente e o destinatário pretendido possam entender o conteúdo da mensagem transmitida;
II - o remetente e o destinatário confirmem a identidade da outra parte envolvida na comunicação; e
III - o conteúdo de sua comunicação não seja alterado durante a transmissão.
Assinale a opção que apresenta as propriedades da comunicação segura que correspondem, respectivamente, às necessidades I, II e III.
Provas
Assinale a opção que apresenta uma condição necessária para que ocorra um deadlock.
Provas
- Fundamentos de ProgramaçãoEstruturas de DadosDefinição: Estrutura de Dados
- Fundamentos de ProgramaçãoEstruturas de DadosEstrutura de Dados: ÁrvoreÁrvore AVL
- Fundamentos de ProgramaçãoEstruturas de DadosEstrutura de Dados: ÁrvoreÁrvore Binária
Assinale a opção que apresenta dois exemplos de árvores binárias classificadas como Balanceadas.
Provas
Assinale a opção que apresenta 3 (três) padrões de projeto classificados como estruturais.
Provas
O modelo de armazenamento multidimensional, utilizado para a modelagem de DATA WAREHOUSES, envolve dois tipos de tabelas, que são tabela
Provas
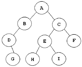
Analise a figura a seguir.

Assinale a opção que apresenta o percurso pós-ordem da árvore acima.
Provas
- Engenharia de SoftwareGerenciamento de Projetos de Software
- Qualidade de SoftwareMétricas de SoftwareAPF: Análise de Pontos de Função
- Qualidade de SoftwareMétricas de SoftwareCoCoMo II
- Qualidade de SoftwareMétricas de SoftwareLOC: Linhas de Código
Assinale a opção que apresenta três modelos de estimativa de software.
Provas
Caderno Container