Foram encontradas 50 questões.
Em gerência de projetos, a criação da Estrutura Analítica do Projeto (EAP) é um processo da área de conhecimento denominada Gerenciamento
Provas
Correlacione os servidores aos serviços de rede por eles executado, e assinale a opção que apresenta a sequência correta.
SERVIDORES
I - Servidores de Web
II - Servidores de email
III- Servidores de impressão
IV - Servidores de horário
SERVIÇOS
( ) ntp
( ) cupsd
( ) httpd, apache, apache2
( ) postfix, qmail, sendmail
( ) sshd
Provas
O grupo de processos de planejamento consiste nos processos para desenvolver o plano de gerenciamento e nos documentos do projeto que serão usados para executá-lo. Assinale a opção que apresenta um processo do grupo de processos de planejamento
Provas
A distribuição de chave privada ainda é considerada um problema crítico na manutenção do sigilo da chave secreta. No entanto, a distribuição de chaves públicas também requer cuidados. Sendo assim, considere a seguinte situação:
1 - Alice e Bob trocam as suas chaves públicas;
2- nesse momento, um invasor consegue passar a sua chave pública falsa para Bob, fingindo ser a de Alice;
3 - Bob criptografa uma mensagem para Alice usando a chave pública falsa do invasor;
4 - o invasor intercepta a mensagem e usa a sua chave privada para decriptografar a mensagem de Bob.
Marque a opção que contém, respectivamente, a denominação do tipo de ataque e a solução para o problema.
Provas
Disciplina: TI - Organização e Arquitetura dos Computadores
Banca: Marinha
Orgão: Marinha
Sobre níveis de cache de Memória RAM, analise as afirmativas abaixo.
I - O nível 1 (1evel 1 ou 11) é localizado fora do processador.
II - O nível 12 é geralmente localizado no interior do processador e, portanto, com menor tempo de acesso.
III- A memória de nível mais baixo (11) é a que tem maior velocidade, maior custo e menor capacidade.
IV - O processador sempre procura o dado/instrução na memória de menor nível; não achando na 11, ele procura na 12.
Assinale a opção correta.
Provas
Assinale a opção que NÃO apresenta característica da Segurança da Informação.
Provas
O conceito de organização de múltiplas unidades de disco com um sistema de controle integrado e único é denominado RAID (Redundant Array of Independent Disks). Qual o nível de RAID que utiliza a técnica de fracionamento (Stripping) que permite o fracionamento do arquivo em várias partes, sendo cada uma delas armazenadas em discos distintos, e que não implementa redundância? 45)
Provas
Analise as tabelas MILITAR e DEPENDENTE abaixo.
MILITAR(id, nome, posto_graduacao);
DEPENDENTE(iddep, id, nome, nascimento);
Considere que:
- id é chave primária de MILITAR;
- iddep é chave primária em DEPENDENTE;
- id em DEPENDENTE é chave estrangeira e se refere a MILITAR.
Assinale a opção que indica o comando SQL que lista as quantidades de dependentes dos militares que possuem dois ou mais dependentes, e os id dos militares que possuem dois ou mais dependentes.
Provas
Analise, as figuras a seguir.

Árvores binárias maior aplicação classifique, da são estruturas de dados não sequenciais com em computação. Com relação a esse tema, esquerda para direita, os três modelos de árvore acima e assinale a opção correta.
Provas
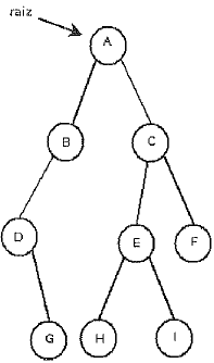
Observe a árvore a seguir.

Assinale a opção que apresenta o percurso em pré- ordem da árvore binária acima.
Provas
Caderno Container