Foram encontradas 50 questões.
Assinale a opção que preenche corretamente as lacunas da sentença abaixo:
Corrosão __________ é o tipo de corrosão que ocorre quando dois metais ou ligas diferentes estão em contato e imersos em um mesmo eletrólito, e _______ é a corrosão do material metálico que ocorre sob a influência de bactérias, algas ou fungos.
Provas
Levando-se em consideração as aparelhagens mais comuns em laboratórios químicos, leia o excerto abaixo.
"Instrumento volumétrico utilizado para a transferência de certos volumes, de modo preciso, sob determinadas temperaturas. Pode ser de transferência ou graduada."
Essas informações referem-se:
Provas
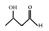
Qual a nomenclatura IUPAC da molécula abaixo?

Provas
Qual a massa (em gramas) de metal de magnésio que pode ser obtida a partir de cloreto de magnésio fundido, usando uma corrente de 19,3 A por 2 horas e considerando a constante de Faraday igual a 9,65 x 104 c.mor1?
Provas
As seguintes características podem ser associadas a determinado elemento químico:
I- é um elemento representativo;
li- é obtido a partir da bauxita; e
lii- é o metal mais abundante e o terceiro elemento mais abundante em peso da crosta terrestre.
Esse elemento é o:
Provas
Um técnico em química preparou uma solução contendo CaS04 em excesso e observou a formação de precipitado. O que esse técnico deve observar ao adicionar a essa solução uma solução contendo eaCl2, considerando CaS04 +--> ea2+ + S042• e Kps = 2,4 x 1 a·5•
Provas
São exemplos de óxidos básico, neutro, ácido e anfótero, respectivamente:
Provas
Em concordância com a Teoria de Repulsão dos Pares Eletrônicos de Valência sobre a água, é correto afirmar que:
Provas
Assinale a opção que apresenta apenas operações unitárias utilizadas em análise gravimétrica.
Provas
- Química InorgânicaSoluções e Substâncias InorgânicasSoluções: características, tipos de concentração, diluição, mistura, titulação e soluções coloidais
Assinale a opção que completa corretamente as lacunas da sentença abaixo em relação aos conceitos de titulação:
ºO Ponto ___________ ocorre quando a quantidade de titulante adicionado é a quantidade exata necessária para a reação estequiométrica com o analito, e o Ponto _________ é indicado pela mudança súbita em uma propriedade física da solução.
Provas
Caderno Container