Foram encontradas 650 questões.
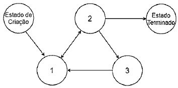
Segundo Machado & Maia (2017), no contexto de gerenciamento de processos, o estado de um processo pode mudar por demanda do próprio processo ou por uma interrupção do sistema operacional. Assinale a opção que completa corretamente as transições dos estados de processo na seguinte figura.

Provas
Com relação aos tipos de cifras criptográficos, segundo Tanenbaum (2011), assinale a opção que completa corretamente as lacunas da sentença abaixo:
As cifras de reordenam as letras, mas não as disfarçam. A cifra se baseia em uma chave que é uma palavra ou frase que não contém letras .
Provas
- Ataques e Golpes e AmeaçasMalwaresBot e Botnet
- Ataques e Golpes e AmeaçasMalwaresRootkit
- Ataques e Golpes e AmeaçasMalwaresSpyware
- Ataques e Golpes e AmeaçasMalwaresWorms
São exemplos de Malware, segundo a CERT.BR:
Provas
- AdministraçãoSegurançaAutorização de Acesso
- AdministraçãoSegurançaGerenciamento de Usuários e Contas
- SQLDCLGRANT
Qual comando SQL serve para autorizar os usuários 'ODBA' e 'FINANCEIRO' a acessar a tabela 'PAGAMENTO' para leitura?
Provas
Disciplina: TI - Organização e Arquitetura dos Computadores
Banca: Marinha
Orgão: Marinha
Relacionado à Memória Principal, segundo Monteiro (2012), a unidade de informação do sistema processador/Memória Principal que deve representar o valor de um número (um dado) ou uma instrução de máquina e que também é definida como sendo um conjunto de bits que representa uma informação útil para os computadores está relacionada ao conceito de:
Provas
A técnica de memória virtual por paginação é organizada em blocos. Esses blocos podem ser alocados em páginas da memória física, mas eventualmente um bloco pode precisar ser substituído para liberar espaço. Assinale a opção que apresenta um algoritmo de substituição de páginas que utiliza um bit adcional, conhecido como bit de referência.
Provas
Disciplina: TI - Organização e Arquitetura dos Computadores
Banca: Marinha
Orgão: Marinha
Segundo Monteiro (2012), barramento é um conjunto de fios que conduzem sinais elétricos entre os diversos componentes do computador. Sobre esse conceito analise as informações a seguir.
• Barramento de Controle - conjunto de fios condutores que interliga o processador (unidade de controle) à Memória Principal (MP) para passagem de sinais de controle durante uma operação de leitura ou escrita.
• Barramento de Endereços - interliga o Registrador de Endereços da Memória (REM) à MP para transferência dos bits que representam um determinado endereço.
• Barramento de Dados - interliga o Registrador de Dados da Memória (RDM) à MP, para transferência de informações entre MP e processador (instruções ou dados).
Considerando a transferência de sinais entre o processador e a MP, os barramentos apresentados são respectivamente:
Provas
- Fundamentos de ProgramaçãoEstruturas de DadosDefinição: Estrutura de Dados
- Fundamentos de ProgramaçãoEstruturas de DadosEstrutura de Dados: Array
Segundo Farrer (1999), em relação às variáveis compostas, é correto afirmar que:
Provas
Assinale a opção que apresenta a máscara de rede que comporta exatamente blocos de 8 hosts.
Provas
Segundo Machado & Maia (2017), um Sistema Operacional de Rede (SOR) permite que um host compartilhe seus recursos, como a capacidade de armazenamento, com outros hosts ligados por uma rede. Esse modelo corresponde a que tipo de sistema operacional?
Provas
Caderno Container