Foram encontradas 50 questões.
- Gerenciamento de ProcessosEscalonamento de ProcessosAlgoritmo SJF
- Gerenciamento de ProcessosEscalonamento de ProcessosEscalonador Não Preemptivo
Segundo Machado e Maia (2013), a gerencia do processador tornou-se uma das atividades mais importantes em um sistema operacional, em que são estabelecidos critérios utilizados para escolha do processo que fará uso do processador com base em uma política de escalonamento. Assim, assinale a opção que apresenta um exemplo de escalonamento não-preemptivo.
Provas
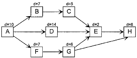
Um Tenente, gerente de projeto do sistema beta_mb, montou o seguinte diagrama, o qual expõem a duração de atividades. Se o Tenente substituir a duração da atividade B para 12 dias e a duração da atividade G para 9 dias, qual dos seguintes caminhos seria o caminho critico do projeto beta_mb? (Observação d=duração da atividade).

Provas
No contexto de Funções de hash, assinale a opção que apresenta uma representação válida ( em hexadecimal) de um valor de hash MD5.
Provas
Disciplina: TI - Organização e Arquitetura dos Computadores
Banca: Marinha
Orgão: Marinha
Segundo o autor Marie A Monteiro (2012), existem diversas formas de se realizar o Mapeamento de Dados entre a Memória Principal (MP) e a Memória Cache (MC). Seja uma MP constituída de blocos com largura de 32 bytes, associada a uma MC com as seguintes características: capacidade de 64KB, quantidade de linhas de 4K e utilizando o mapeamento associativo por conjunto de 4. Suponha que, em um dado instante, o processador realize um acesso, colocando o seguinte endereço (expresso em algarismos hexadecimais) 3FC92B6.
Assim, qual deverá ser o valor binário do campo conjunto que será localizado pelo sistema de controle da cache?
Provas
No contexto da linguagem Python 3, considere a variável.
s = '1202/TQ - lisarB od ahniraM ad etneneT-oriemirP'
Assinale a instrução que exibe o texto 'CP-T/2021'.
Provas
Na linguagem Java, existe uma diferença entre comparação por referência e comparação por conteúdo. O operador "==" e o método "equals" apresentam comportamentos específicos com relação a essa característica. Analise o código Java da figura abaixo.
public class Quest {
public static void main(String args[]) {
Integer n1Jn2,n3,n4,n5;
int n6;
String n7="1";
char r1,r2,r3,r4,r5,r6;
String p;
n1=1; n2=l1 n3=n1;
n4=n2; n6=1; n5=n6;
r1=(nl.equals(n2)?'m': 'b' );
r2=(nl.equals(n3)? 'm': 'b');
r3=(nl==n4?'b':'m');
r4=(nl==nS?'b':'m');
r5=(nl.equals(n?)?'m': 'b');
r6=(n1==n6?'m': 'b');
p=""+r1+r2+r3+r4+rS+r6;
System.out.println(p);
}
}
Assinale a opção que apresenta a mensagem após a execução do programa.
Provas
- Conceitos BásicosPrincípiosAutenticidade
- Ataques e Golpes e AmeaçasMITM: Man-in-the-Middle
- AAA: Autenticação, Autorização e AuditoriaAutenticação de Usuários
Segundo Stallings (2008), no que se refere ao contexto de Segurança e Criptografia, assinale a opção que apresenta uma forma de prevenção contra ataques do tipo homem no meio (man-in-the-middle).
Provas
Segundo Stallings (2008), com relação aos serviços proporcionados pelos protocolos de segurança Autenticação do Cabeçalho (AH) e Encapsulamento de Segurança do Payload (ESP) do IPSec, podemos afirmar que apenas o:
Provas
Segundo Tanenbaum (2011), no contexto de Redes, analise as afirmativas abaixo considerando uma camada k qualquer do modelo OSI:
I- Suponha que os algoritmos usados para implementar as operações na camada k sejam mudados. Essa mudança não afeta a camada superior ou inferior.
II- Suponha que haja uma mudança no serviço fornecido pela camada k. Essa mudança não afeta a camada superior ou inferior.
III- Suponha que haja uma mudança no serviço fornecido pela camada k. Essa mudança não afeta as camadas inferiores, mas as operações da camada superior possivelmente terão que ser reimplementadas.
IV- Suponha que os algoritmos usados para implementar as operações na camada k sejam mudados. Essa mudança não afeta as camadas inferiores, mas as operações da camada superior possivelmente terão que ser reimplementadas.
Assinale a opção correta.
Provas
Analise o código Java abaixo:

Substitua o valor 1 por 8 e o valor 2 por 5 e assinale a opção que apresenta o resultado que será exibido após a execução do programa.
Provas
Caderno Container