Foram encontradas 850 questões.
As propriedades dos sistemas em equilíbrio são muito importantes, pois todas as reações químicas tendem a alcançar um equilíbrio. Com relação à essa temática, é correto afirmar que:
Provas
As corrosões podem ser caracterizadas de diversas formas. Assinale a opção que apresenta a caracterização da corrosão e seus exemplos correspondentes.
Provas
As reações de oxirredução são de imensa importância por nortearem processos bioquímicos e industriais e por serem a base para geração de eletricidade por meio de reações químicas. Com relação à eletroquímica, é correto afirmar que:
Provas
Assinale a opção que completa corretamente as lacunas da sentença abaixo:
"Na criação de uma solução tampão que mantenha a solução ácida, é necessário colocar e seu sal. Caso, posteriormente, seja adicionado(a) à solução um pouco de o ânion do sal reagirá com os íons hidrogênio, deslocando o equilíbrio para a formação "
Provas
Com relação à reação abaixo não balanceada e aos compostos envolvidos, assinale a opção correta.
!$ H_2 C_2 O_4 + KMnO_4 \rightarrow CO_2 + MnO + K_2 O + H_2 O !$
Provas
Sulfatos de zinco, de magnésio e de niquei são usados como inibidores:
Provas
Em uma solução de pH = 10, a solubilidade do Cu(OH)2 em mol/L, é:
Dado: Kps Cu(OH)2 = 1,6 x 10-19
Provas
A cromatografia gasosa é uma técnica utilizada para a separação de um analito volátil. Assim, com relação ao gás de arraste, assinale a opçao que apresenta o gás mais utilizado em cromatografia.
Provas
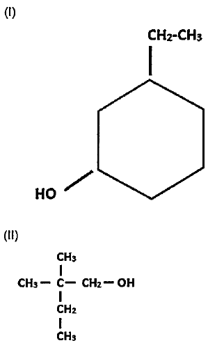
Analise as duas moléculas orgânicas representadas abaixo.

Assinale a opção que apresenta, respectivamente, os compostos (I) e (li).
Provas
Com relação à teoria dos gases, é correto afirmar que:
Provas
Caderno Container