Foram encontradas 50 questões.
Um pedaço de gelo de origem terrestre, estimado entre 3 e 4 metros acima do nível do mar, foi avistado com grande velocidade em relação ao deslocamento dos demais tipos de gelo que se encontravam ao redor. Devido ao perigo à navegação, o navio precisou informar ao serviço meteorológico marinho a existência desse pedaço de gelo flutuante. De acordo com os dados, como foi denominado o pedaço de gelo?
Provas
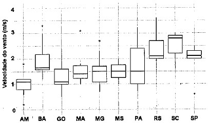
Em um determinado estudo climatológico da velocidade do vento, foram selecionados alguns estados de modo a avaliar os padrões de comportamento da variável. A figura a seguir mostra a representação clássica de gráficos de caixas para cada um dos 10 estados selecionados, com dados provenientes das médias mensais climatológicas, tomadas no período de 1991 a 2020, das estações do Instituto Nacional de Meteorologia (INMET).

Com base nas, informações apresentadas, assinale a opção INCORRETA.
Provas
Sistemas Convectivos de Mesoescala (SCM) são responsáveis pela maior parte da precipitação nos trópicos e em várias localidades de latitudes médias durante a estação quente. Como exemplo, pode-se citar: Tempestades Convectivas (TC), Linhas de Instabilidade (LI) e Complexos Convectivos de Mesoescala (CCM).
Classifique as afirmações abaixo em TC, LI ou CCM e assinale a opção que apresenta a sequência correta.
( ) Apresenta cobertura de nuvens com temperaturas no infravermelho menores que -32ºC e com área de 100.000 km2, e a região mais interna da nuvem deve apresentar temperaturas menores que -52ºC com área de 50.000 km2.
( ) Desenvolvem-se frequentemente na costa norte-nordeste da América do Sul e podem se propagar para o interior do continente quando o escoamento médio em 850 hPa for perpendicular à costa, estando associados à circulação de brisa marítima.
( ) O estágio maduro ocorre durante a madrugada, coincidindo com o horário de máxima intensidade do Jato de Baixos Níveis (JBN), e dissipando-se por volta do meio dia.
( ) O sistema é composto da seguinte forma: em sua frente, há nuvens cúmulos em desenvolvimento; a seguir, uma borda dianteira de convecção (leading edge convection); e finalmente uma camada ampla de nuvens estratiformes na região da bigorna.
( ) Podem ser classificadas em: de célula única (single cell), multicélula (multicell) e supercélula (supercell).
Provas
Analise o gráfico abaixo.

Sabendo que uma das linhas é a razão adiabática seca e a outra é a razão pseudoadiabática, assinale a opção correta sobre a condição de estabilidade atmosférica de acordo com a Taxa de Variação Vertical da Temperatura Ambiente (TVVTA).
Provas
O conhecimento sobre baixas polares, ou mesociclones, é muito importante no processo de previsão em alguns setores da Antártica, uma vez que elas podem provocar ventos intensos e estar associadas a neve moderada ou forte. A respeito dos mesociclones antárticos é correto afirmar que:
Provas
A circulação oceânica média no oceano Atlântico Sudoeste apresenta o encontro de duas correntes marítimas que carregam massas de água termicamente distintas e fluem em direções quase opostas ao longo da costa do continente sul-americano. Assinale a opção que apresenta o nome dessas correntes marítimas.
Provas
Em um determinado boletim climatológico para a região Sul do Brasil, foram apresentados os climogramas das cidades de Torres/RS, localizada no litoral, e da cidade de Curitiba/PR, no interior, de modo a exemplificar variações climáticas que ocorrem ao longo do ano.

Com base na análise gráfica e nos conhecimentos do clima da região Sul do Brasil, assinale a opção correta.
Provas
Durante uma comissão naval nas áreas BRAVO e CHARLIE da METAREA V, um dos navios da frota reportou intenso nevoeiro durante uma madrugada de céu sem nuvens. Posteriormente, o encarregado da navegação da embarcação acessou os dados da boia de Santos, operada pela Marinha do Brasil, localizada a 120 milhas náuticas da costa. Os gráficos a seguir mostram o comportamento das variáveis ao longo do dia da ocorrência do nevoeiro.


Com base nas informações apresentadas, é correto afirmar que ocorreu um nevoeiro de:
Provas
O regime climático da América do Sul tropical apresenta uma alternância sazonal de padrões de circulação atmosférica, caracterizando-o como uma região de monção. Essa alternância se reflete em uma estação seca e outra chuvosa em determinados períodos do ano. Com base em Cavalcanti et al. (2009), assinale a opção correta a respeito do sistema monçônico da América do Sul.
Provas
A respeito da variação da circulação dos sistemas de pressão atmosférica com a altura, da superfície até níveis superiores, assinale a opção correta.
Provas
Caderno Container