Foram encontradas 130 questões.

Considerando o diagrama Fe-C, mostrado na figura apresentada, e as características dos materiais ferrosos, julgue o seguinte item.
Considerando o diagrama Fe-C, mostrado na figura apresentada, e as características dos materiais ferrosos, julgue os seguintes itens.
A fase γ é um cristal cúbico de face centrada, estável a altas temperaturas, que na têmpera forma uma estrutura diferente, extremamente dura e frágil, com todo o carbono aprisionado em solução sólida supersaturada, estável à temperatura ambiente chamada de martensita.
Provas
Questão presente nas seguintes provas

Considerando o diagrama Fe-C, mostrado na figura apresentada, e as características dos materiais ferrosos, julgue o seguinte item.
Provas
Questão presente nas seguintes provas
Acerca dos materiais utilizados na construção mecânica, suas propriedades e características, julgue o item a seguir.
O ensaio de dureza esquematizado na figura a seguir é o de dureza Brinnel, no qual a dureza medida é função da carga P aplicada a um identador de diamante e do tamanho médio das diagonais d1 e d2 produzidas no material sob teste.
O ensaio de dureza esquematizado na figura a seguir é o de dureza Brinnel, no qual a dureza medida é função da carga P aplicada a um identador de diamante e do tamanho médio das diagonais d1 e d2 produzidas no material sob teste.

Provas
Questão presente nas seguintes provas
Com base nos princípios da resistência dos materiais, julgue o item que se segue.
Para o estado de tensões no ponto A, representados pelo elemento de tensão e o correspondente círculo de Mohr ilustrados a seguir, a tensão de cisalhamento máxima que atua no ponto A é 110 Mpa.
Para o estado de tensões no ponto A, representados pelo elemento de tensão e o correspondente círculo de Mohr ilustrados a seguir, a tensão de cisalhamento máxima que atua no ponto A é 110 Mpa.

Provas
Questão presente nas seguintes provas
Considerando uma árvore de transmissão de secção circular constante com diâmetro d, fabricada em aço carbono ABNT 1045 com resistência ao escoamento Sy que esteja submetida simultaneamente a um momento fletor M e a um torque T, julgue o item subsequente.
Sob carregamento estático e para um fator de segurança n, pelo critério da máxima tensão cisalhante, ou critério de Tresca, o diâmetro da árvore será calculado pela equação
Sob carregamento estático e para um fator de segurança n, pelo critério da máxima tensão cisalhante, ou critério de Tresca, o diâmetro da árvore será calculado pela equação

Provas
Questão presente nas seguintes provas
Considerando os conceitos relacionados à da mecânica dos sólidos, julgue o próximo item.
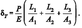
Considere que a barra escalonada, feita em alumínio com módulos de elasticidade E, esquematizada na figura a seguir, esteja submetida a uma carga axial de tração P. Na condição mostrada, a elongação total da barra pode ser calculada pela equação

Considere que a barra escalonada, feita em alumínio com módulos de elasticidade E, esquematizada na figura a seguir, esteja submetida a uma carga axial de tração P. Na condição mostrada, a elongação total da barra pode ser calculada pela equação

Provas
Questão presente nas seguintes provas
Considerando os conceitos relacionados à da mecânica dos sólidos, julgue o próximo item.
Na treliça mostrada na figura a seguir, a barra AB está tracionada por uma força de 15 kN e a barra AF por uma força de 20 kN também de tração.

Na treliça mostrada na figura a seguir, a barra AB está tracionada por uma força de 15 kN e a barra AF por uma força de 20 kN também de tração.

Provas
Questão presente nas seguintes provas
- Materiais de Construção MecânicaPropriedades e Comportamentos dos Materiais
- Sistemas MecânicosProcessos de Fabricação
Considerando os conceitos relacionados à da mecânica dos sólidos, julgue o próximo item.
Considere que em uma prensa de estampagem, barras circulares de aço com resistência ao cisalhamento de 250 MPa podem ser usadas como punção para fazer um furo em uma placa de aço de 10 mm de espessura, conforme o esquema mostrado na figura a seguir e que a tensão máxima de compressão admissível no punção é 625 MPa. Nessas condições, somente podem ser puncionados na placa furos com diâmetro d ≥ 16 mm.
Considere que em uma prensa de estampagem, barras circulares de aço com resistência ao cisalhamento de 250 MPa podem ser usadas como punção para fazer um furo em uma placa de aço de 10 mm de espessura, conforme o esquema mostrado na figura a seguir e que a tensão máxima de compressão admissível no punção é 625 MPa. Nessas condições, somente podem ser puncionados na placa furos com diâmetro d ≥ 16 mm.

Provas
Questão presente nas seguintes provas
Considerando os conceitos relacionados à da mecânica dos sólidos, julgue o próximo item.
Um volante com um momento de inércia I, ao ser acionado para liberar energia para uma prensa, fica submetido a um torque T. Nessa condição, o volante estará sob uma aceleração angular
Um volante com um momento de inércia I, ao ser acionado para liberar energia para uma prensa, fica submetido a um torque T. Nessa condição, o volante estará sob uma aceleração angular
Provas
Questão presente nas seguintes provas
Considerando os conceitos da mecânica dos materiais, julgue o item seguinte.
Considere que a figura I a seguir mostre uma coluna de aço de comprimento L, cujo perfil é mostrado na figura II, submetida a uma carga de compressão P. Sabendo-se que para esta configuração os momentos de inércia valem 84.2 × 104 mm4 em torno do eixo y-y e 235.4 ×104 mm4 em torno do eixo x-x, é correto afirmar que, se ocorrer flambagem, ela ocorrerá em torno do eixo x-x quando a carga P atingir o valor Pcr previsto pela fórmula de Euler.
Considere que a figura I a seguir mostre uma coluna de aço de comprimento L, cujo perfil é mostrado na figura II, submetida a uma carga de compressão P. Sabendo-se que para esta configuração os momentos de inércia valem 84.2 × 104 mm4 em torno do eixo y-y e 235.4 ×104 mm4 em torno do eixo x-x, é correto afirmar que, se ocorrer flambagem, ela ocorrerá em torno do eixo x-x quando a carga P atingir o valor Pcr previsto pela fórmula de Euler.

Provas
Questão presente nas seguintes provas
Cadernos
Caderno Container