Foram encontradas 50 questões.
Um encontro foi realizado com 104 ilustradores. Dentre esses ilustradores, 47 também são compositores e 22 também são escritores. Sabendo que 55 ilustradores não são nem compositores nem escritores, o número de pessoas nesse encontro que trabalham nas três atividades é:
Provas
Questão presente nas seguintes provas
Em uma livraria, a cada 12 clientes que compram livros em português, 7 clientes compram livros em língua estrangeira, sendo
que nenhum cliente compra livros em mais de uma língua. Certo dia, o número de clientes que compraram livros em língua
estrangeira foi 190 a menos do que o número de clientes que compraram livros em português. O número de clientes que, nesse
dia, fizeram compra de livros, foi:
Provas
Questão presente nas seguintes provas
Adriana fez uma consultoria em uma empresa que pagou R$ 150,00 por hora de trabalho e recebeu um total de R$ 800,00, proporcionais ao tempo de trabalho. Em outra empresa, Adriana trabalhou um total de 10 horas e 40 minutos e recebeu
R$ 1.200,00, também proporcionais às horas de trabalho. Se nessa segunda empresa ela tivesse trabalhado o mesmo tempo
que trabalhou na primeira empresa, o valor recebido seria de:
Provas
Questão presente nas seguintes provas
As retas r, s, t, u, v e w, indicadas na figura abaixo, são paralelas e equidistantes entre si.
Neste caso, a razão entre as áreas da região pintada e do triângulo ABD é igual a:
Neste caso, a razão entre as áreas da região pintada e do triângulo ABD é igual a: Provas
Questão presente nas seguintes provas
Numa indústria alimentícia, construiu-se um reservatório de seção trapezoidal constante para o armazenamento de água potável. As medidas internas da seção do reservatório estão indicadas na figura.
Num determinado dia em que o reservatório apresentava-se completamente vazio, com o objetivo de enchê-lo até 80% de sua
capacidade, um registro de alimentação, de vazão 25,4 litros por minuto, foi aberto. O encarregado do setor não percebeu, no
entanto, que um ralo de escoamento do reservatório, cuja vazão era de 6,2 litros por minuto, também estava aberto. Sabendo
que o tempo transcorrido do início do processo até a obtenção do objetivo exposto foi de 3 horas e 20 minutos, é correto concluir
que a profundidade do reservatório, em metros, é de:
Num determinado dia em que o reservatório apresentava-se completamente vazio, com o objetivo de enchê-lo até 80% de sua
capacidade, um registro de alimentação, de vazão 25,4 litros por minuto, foi aberto. O encarregado do setor não percebeu, no
entanto, que um ralo de escoamento do reservatório, cuja vazão era de 6,2 litros por minuto, também estava aberto. Sabendo
que o tempo transcorrido do início do processo até a obtenção do objetivo exposto foi de 3 horas e 20 minutos, é correto concluir
que a profundidade do reservatório, em metros, é de: Provas
Questão presente nas seguintes provas
Um serralheiro foi contratado para fazer a parte metálica do portão de uma chácara. Cabia a ele serrar e soldar barras de ferro,
confeccionando a peça mostrada na figura abaixo, sem escala, onde BR é uma barra horizontal e as outras, AB, CD, EF, GH, IJ,
KL, MN, OP e QR, são todas barras verticais. Essa peça, depois, receberia acabamento de outros materiais. Sabe-se que
AB = QR = 1,6 m, IJ = 0,4 m e BR = 2,0 m. Sabe-se, também, que os espaçamentos entre as barras verticais deveriam ser iguais
e que os pontos A, C, E, G e I, bem como os pontos I, K, M, O e Q, deveriam ser extremidades colineares (como indicam as
linhas pontilhadas).
Fazendo seus cálculos, o serralheiro constatou que, para confeccionar a peça, seria necessário, em metros, um comprimento
total de barras de ferro correspondente a:
Fazendo seus cálculos, o serralheiro constatou que, para confeccionar a peça, seria necessário, em metros, um comprimento
total de barras de ferro correspondente a:Provas
Questão presente nas seguintes provas
O mostrador de um brinquedo é um círculo que contém um octógono regular, ambos com mesmo centro. Com uma extremidade
fixa nesse centro, há um ponteiro móvel que, ao se deslocar, aciona um mecanismo que intensifica e transforma em linha
tracejada a porção do contorno do octógono por onde o ponteiro já tiver passado. As figuras 1 e 2 mostram, respectivamente, a
posição inicial do ponteiro e o efeito de seu deslocamento.
Sabendo-se que o lado do octógono mede b, quando o ponteiro tiver se deslocado 247,5º, a partir de sua posição inicial, a parte
tracejada do contorno do octógono medirá:
Sabendo-se que o lado do octógono mede b, quando o ponteiro tiver se deslocado 247,5º, a partir de sua posição inicial, a parte
tracejada do contorno do octógono medirá:Provas
Questão presente nas seguintes provas
O gráfico da figura representa o sistema
Neste caso, a área do triângulo definido pelos vértices C, E e F vale
Neste caso, a área do triângulo definido pelos vértices C, E e F vale Provas
Questão presente nas seguintes provas
Sabe-se que o volume de um cone reto corresponde à terça parte do volume de um cilindro reto de mesma base e mesma
altura. Uma peça maciça de vidro é constituída de um cilindro reto de altura 10 cm, cujo raio da base mede 2 cm, vazado por
uma região cônica reta com a mesma base do cilindro e altura 6 cm. Observa-se, na figura, que a parte maciça da peça, em
vidro, é a região pintada.
Adotando π = 3, o volume de vidro da peça é, em centímetros cúbicos, igual a:
Adotando π = 3, o volume de vidro da peça é, em centímetros cúbicos, igual a: Provas
Questão presente nas seguintes provas
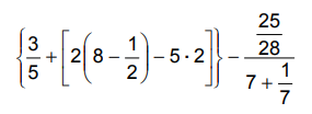
O resultado da expressão numérica:
está compreendido entre:
está compreendido entre: Provas
Questão presente nas seguintes provas
Cadernos
Caderno Container