Foram encontradas 115 questões.
Sobre os vidros usados na construção civil, assinale a opção incorreta.
Provas
Questão presente nas seguintes provas
Nas Instalações Elétricas de baixa tensão, desligamentos frequentes são sinal de sobrecarga. Quando um disjuntor ou fusível atua, desligando algum circuito ou a instalação inteira, a causa pode ser uma sobrecarga ou um curto-circuito. Segundo a ABNT NBR 5410:2008, é correto afirmar:
Provas
Questão presente nas seguintes provas
Sobre serviços de pintura, assinale a opção incorreta.
Provas
Questão presente nas seguintes provas
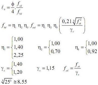
Considere o comprimento de ancoragem básico ( lb ) dado pelas expressões abaixo:

Em que:
η1 é o coeficiente para barras lisas, dentadas ou nervuradas;
η2 é o coeficiente para barras em situações de boa ou má aderência;
η3 é o coeficiente para barras menores ou maiores de 32 mm;
fcd, fbd e fyd em MPa.
Assim, determinar o valor do comprimento (mais próximo) de ancoragem básico,lb, das barras de armadura positiva (armadura inferior) a ser usado em vigas de concreto armado a serem construídas com concreto classe C25 e aço CA-50. Considerar apenas barras nervuradas com diâmetros inferiores a 40 mm e combinações normais de carregamento - ELU.

Em que:
η1 é o coeficiente para barras lisas, dentadas ou nervuradas;
η2 é o coeficiente para barras em situações de boa ou má aderência;
η3 é o coeficiente para barras menores ou maiores de 32 mm;
fcd, fbd e fyd em MPa.
Assim, determinar o valor do comprimento (mais próximo) de ancoragem básico,lb, das barras de armadura positiva (armadura inferior) a ser usado em vigas de concreto armado a serem construídas com concreto classe C25 e aço CA-50. Considerar apenas barras nervuradas com diâmetros inferiores a 40 mm e combinações normais de carregamento - ELU.
Provas
Questão presente nas seguintes provas
Os recalques de fundações, admissíveis ou aqueles não admissíveis, dependem da capacidade de carga e deformabilidade do solo que, por sua vez, dependem de diversos fatores, entre eles: tipo e estado do solo; disposição do lençol freático; intensidade da carga; tipo de fundação (direta ou profunda); cota de apoio da fundação; interferência de fundações vizinhas. Assinale a opção incorreta.
Provas
Questão presente nas seguintes provas
Em instalações elétricas de baixa tensão, a seção mínima do condutor fase para um circuito de força é:
Provas
Questão presente nas seguintes provas
As instalações hidráulicas prediais de água fria são dimensionadas para atender às pressões da água, tanto na condição estática (pressão nos tubos com a água sem escoamento) como na condição dinâmica (pressão nos tubos com a água em movimento). Considerando as exigências e recomendações para o bom desempenho da instalação, assinale a opção incorreta.
Provas
Questão presente nas seguintes provas
Na elaboração e implantação de Sistema de Gestão em Saúde Ocupacional e Segurança, a organização deve considerar várias informações. Nos itens listados abaixo, estão identificadas as informações que devem ser consideradas pelas organizações que visam estabelecer suas políticas de saúde ocupacional e segurança. Assinale a opção incorreta.
Provas
Questão presente nas seguintes provas
Quanto aos trabalhos em altura e segurança no canteiro de obra, assinale a opção incorreta.
Provas
Questão presente nas seguintes provas
Quanto aos revestimentos com argamassas, assinale a opção incorreta.
Provas
Questão presente nas seguintes provas
Cadernos
Caderno Container