Magna Concursos

Foram encontradas 20 questões.

1427713 Ano: 2017
Disciplina: Português
Banca: IBFC
Orgão: MGS
Texto II
Família
(Titãs, fragmento)
Família, família
Papai, mamãe, titia,
Família, família
Almoça junto todo dia,
Nunca perde essa mania
Mas quando a filha quer fugir de casa
Precisa descolar um ganha-pão
Filha de família se não casa
Papai, mamãe, não dão nenhum tostão
Família êh!
Família áh!
Assinale a opção que traz uma afirmação verdadeira a partir da visão apresentada no texto II.
 

Provas

Questão presente nas seguintes provas
1426141 Ano: 2017
Disciplina: Português
Banca: IBFC
Orgão: MGS

Texto I

Paternidade Responsável

Quantos filhos você gostaria de ter?

Ao responder a essa pergunta com certeza uma outra vai passar pela sua cabeça: “Será que vou conseguir sustentar um filho?”.

Certamente você gostaria de ter tantos filhos quantos pudesse sustentar, garantindo-lhes uma boa escola, um lugar com algum conforto para morar e remédios quando necessários.

Segundo especialistas, pode ser perigoso para a mãe a para a criança engravidar durante a adolescência porque o corpo da menina ainda não está preparado para o parto. Problemas como a gestante adolescente apresentar anemia ou o bebê nascer prematuramente são comuns. Além de eventuais problemas de saúde, tem-se um problema de ordem social: como sustentar uma criança, já que, para tanto, o adolescente, se não contar com a ajuda dos pais ou responsáveis, terá de abandonar a escola?

Desesperadas, muitas jovens acabam optando pelo aborto. Vale lembrar que, salvo raras exceções (estupro ou risco de morte para a mãe), o aborto no Brasil, é considerado crime. A mulher recorre, então, a clínicas clandestinas, sem fiscalização, e põe sua saúde em risco. Quem não tem condições de pagar tais clínicas faz uso de métodos ainda mais precários.

Isso acontece, em parte, porque não existe no Brasil um projeto amplo de planejamento familiar que assegure aos mais pobres o direito de decidir quantos filhos desejam ter. Assim, muitos casais têm quatro, seis, dez filhos, quando, na verdade, conseguiriam sustentar apenas um ou dois.

(DIMENSTEIN, Gilberto. O cidadão de Papel. Ed. Ática. São Paulo, 2011, p. 106)

Embora o título do texto seja “Paternidade responsável”, pode-se concluir que, em seu desenvolvimento, o autor dá ênfase à seguinte questão:
 

Provas

Questão presente nas seguintes provas
1426139 Ano: 2017
Disciplina: Português
Banca: IBFC
Orgão: MGS
Texto I
Paternidade Responsável
Quantos filhos você gostaria de ter?
Ao responder a essa pergunta com certeza uma outra vai passar pela sua cabeça: “Será que vou conseguir sustentar um filho?”.
Certamente você gostaria de ter tantos filhos quantos pudesse sustentar, garantindo-lhes uma boa escola, um lugar com algum conforto para morar e remédios quando necessários.
Segundo especialistas, pode ser perigoso para a mãe a para a criança engravidar durante a adolescência porque o corpo da menina ainda não está preparado para o parto. Problemas como a gestante adolescente apresentar anemia ou o bebê nascer prematuramente são comuns.Além de eventuais problemas de saúde, tem-se um problema de ordem social: como sustentar uma criança, já que, para tanto, o adolescente, se não contar com a ajuda dos pais ou responsáveis, terá de abandonar a escola?
Desesperadas, muitas jovens acabam optando pelo aborto. Vale lembrar que, salvo raras exceções (estupro ou risco de morte para a mãe), o aborto no Brasil, é considerado crime. A mulher recorre, então, a clínicas clandestinas, sem fiscalização, e põe sua saúde em risco. Quem não tem condições de pagar tais clínicas faz uso de métodos ainda mais precários.
Isso acontece, em parte, porque não existe no Brasil um projeto amplo de planejamento familiar que assegure aos mais pobres o direito de decidir quantos filhos desejam ter. Assim, muitos casais têm quatro, seis, dez filhos, quando, na verdade, conseguiriam sustentar apenas um ou dois.
(DIMENSTEIN, Gilberto. O cidadão de Papel. Ed. Ática. São Paulo, 2011, p. 106)
A pergunta que inicia o texto emprega um pronome “você” que faz referência:
 

Provas

Questão presente nas seguintes provas
1208193 Ano: 2017
Disciplina: Matemática
Banca: IBFC
Orgão: MGS
Provas:
Sejam os conjuntos A = {0,1,2,3} e B = { 2,3,4,5,6}, pode dizer que a relação que representa uma função de A em B é:
 

Provas

Questão presente nas seguintes provas
1208192 Ano: 2017
Disciplina: Matemática
Banca: IBFC
Orgão: MGS
Provas:
O total de números de 3 algarismos, não repetidos, que podem ser formados utilizando os números 4,5,6 e 7 é igual a:
 

Provas

Questão presente nas seguintes provas
1208188 Ano: 2017
Disciplina: Matemática
Banca: IBFC
Orgão: MGS
Provas:
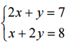
Considerando a solução do sistema linear Enunciado 1208188-1 e sabendo que o valor de x e o valor de y são, respectivamente, o primeiro termo e a razão de uma progressão geométrica, então o quinto termo dessa PG é:
 

Provas

Questão presente nas seguintes provas
1208185 Ano: 2017
Disciplina: Matemática
Banca: IBFC
Orgão: MGS
Provas:
A equação da circunferência da base de um cilindro é dada por (x - 2)2 + (y – 3)2 = 16, com medidas em cm. Se a altura do prisma é igual a 10 cm, então a medida da área do retângulo que forma esse prisma é: Considere π = 3
 

Provas

Questão presente nas seguintes provas
1208176 Ano: 2017
Disciplina: Português
Banca: IBFC
Orgão: MGS
Texto II
Família
(Titãs, fragmento)
Família, família
Papai, mamãe, titia,
Família, família
Almoça junto todo dia,
Nunca perde essa mania
Mas quando a filha quer fugir de casa
Precisa descolar um ganha-pão
Filha de família se não casa
Papai, mamãe, não dão nenhum tostão
Família êh!
Família áh!
No sétimo verso, a palavra “ganha-pão” pertence a uma modalidade mais informal da língua e deve ser entendida como sinônimo de:
 

Provas

Questão presente nas seguintes provas
1208175 Ano: 2017
Disciplina: Português
Banca: IBFC
Orgão: MGS

Texto II

Família

(Titãs, fragmento)

Família, família

Papai, mamãe, titia,

Família, família

Almoça junto todo dia,

Nunca perde essa mania

Mas quando a filha quer fugir de casa

Precisa descolar um ganha-pão

Filha de família se não casa

Papai, mamãe, não dão nenhum tostão

Família êh!

Família áh!

Em relação ao verso “Almoça junto todo dia” (v.4), percebe-se que a palavra “família” exerce a função sintática de:
 

Provas

Questão presente nas seguintes provas
1208170 Ano: 2017
Disciplina: Português
Banca: IBFC
Orgão: MGS
Texto II
Família
(Titãs, fragmento)
Família, família
Papai, mamãe, titia,
Família, família
Almoça junto todo dia,
Nunca perde essa mania
Mas quando a filha quer fugir de casa
Precisa descolar um ganha-pão
Filha de família se não casa
Papai, mamãe, não dão nenhum tostão
Família êh!
Família áh!
Nos três primeiros versos, as vírgulas foram usadas para:
 

Provas

Questão presente nas seguintes provas