Foram encontradas 168 questões.

Considerando que o braço de alavanca para o cálculo da armadura longitudinal máxima pode ser estimado em 90% da altura útil, a seção de ferro dessa armadura fica entre os seguintes valores:
Provas
A construção da curva de oferta de curto prazo de uma empresa é constituída:
Provas
Quanto aos efeitos substituição e renda no consumo, podese afirmar que:
Provas
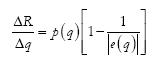
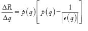
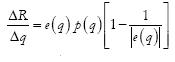
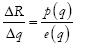
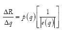
Sendo e(q) a elasticidade-preço de uma dada demanda, ΔR/Δq a receita marginal e p(q) o preço, a fórmula que expressa a relação entre receita marginal e preço é: a relação entre receita marginal e preço é:
Provas
No modelo de Cournot de oligopólio, à medida que o número de empresas cresce:
Provas
No modelo de Cournot de oligopólio:
Provas
No modelo de concorrência imperfeita ocorre que:
Provas
Uma empresa que atua em um mercado perfeitamente competitivo diferencia-se de outra empresa que atua em um mercado monopolista porque:
Provas
Considere a curva de custo médio de longo prazo de uma empresa que atua em um mercado perfeitamente competitivo. O formato em "U" desta curva se explica pelas seguintes propriedades de sua função de produção:
Provas
Os anos noventa no Brasil foram caracterizados por mudanças econômicas e sociais, entre as quais se encontra(m):
Provas
Caderno Container