Foram encontradas 775 questões.
Provas
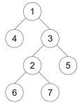
Dada a figura abaixo, qual a ordem de visita nos nós do grafo seguindo a listagem pré-ordem?

Provas
Enumere a segunda coluna de acordo com a primeira, associando a representação gráfica dos relacionamentos do diagrama de classes UML ao seu respectivo nome.
1ª coluna





2ª coluna
( ) Especialização.
( ) Dependência.
( ) Associação.
( ) Composição.
( ) Agregação.
A sequência correta, de cima para baixo, está na opção
Provas
Um robô foi programado para arrumar cada um dos 6 objetos diferentes em uma prateleira do móvel, representado a seguir, de modo que a arrumação de um dia nunca era a mesma dos dias anteriores.

Ele conseguiu fazer isso
Provas
Provas
Considerando a implementação, em C, a seguir, de uma estrutura de dados e de uma busca nessa estrutura,

o número médio de acessos que precisa ser feito para localizar um registro nessa estrutura contendo n elementos utilizando a função descrita é
Provas
Qual é o resultado da compilação e execução do código Java a seguir?

Provas
Dado o código C abaixo,

sabe-se que STR é a estrutura e STRSIZE é a capacidade da estrutura. Verifica-se que este código implementa a estrutura de dados
Provas
Provas
- LinguagensC++
- LinguagensPython
- Paradigmas de ProgramaçãoOrientação a ObjetosDefinição Técnica: Orientação a Objetos
- Paradigmas de ProgramaçãoOrientação a ObjetosOrientação a Objetos: Herança
Provas
Caderno Container