Magna Concursos

Foram encontradas 60 questões.

286505 Ano: 2008
Disciplina: Direito Administrativo
Banca: FCC
Orgão: MPE-RS
Provas:

O documento firmado entre o Poder Público e as OSCIP para a formação de vínculo de cooperação entre as partes, para o fomento e a execução das atividades de interesse público, é denominado

 

Provas

Questão presente nas seguintes provas
286504 Ano: 2008
Disciplina: Direito Administrativo
Banca: FCC
Orgão: MPE-RS
Provas:

Na ocasião da prestação de contas de uma OSCIP devese observar os seguintes procedimentos:

 

Provas

Questão presente nas seguintes provas
286503 Ano: 2008
Disciplina: Contabilidade Pública
Banca: FCC
Orgão: MPE-RS
Provas:

As transferências derivadas da lei orçamentária, concedidas por entes governamentais a autarquias, fundações e a entidades sem fins lucrativos, destinadas à aplicação em custeio e manutenção destas, sem contrapartida direta do beneficiário dos recursos em bens e serviços, ou determinadas por lei especial anterior, para o atendimento de investimentos ou inversões financeiras, são denominadas de

 

Provas

Questão presente nas seguintes provas
286502 Ano: 2008
Disciplina: Direito Administrativo
Banca: FCC
Orgão: MPE-RS
Provas:

São qualificadas como Organizações da Sociedade Civil de Interesse Público (OSCIP)

 

Provas

Questão presente nas seguintes provas
286501 Ano: 2008
Disciplina: Matemática Financeira
Banca: FCC
Orgão: MPE-RS
Provas:

Um empréstimo no valor de R$ 100.000,00 deverá ser pago através de 30 prestações mensais, iguais e consecutivas, vencendo a primeira um mês após a realização do empréstimo. Sabe-se que foi utilizado o Sistema Francês de Amortização (Tabela Price), a uma taxa de juros compostos de 3% ao mês, com a informação de que o Fator de Recuperação de Capital correspondente é igual a 0,0510. O valor dos juros incluídos no valor da segunda prestação, em R$, é igual a

 

Provas

Questão presente nas seguintes provas
286500 Ano: 2008
Disciplina: Matemática Financeira
Banca: FCC
Orgão: MPE-RS
Provas:

Um banco concede um financiamento de R$ 150.000,00 para a compra de um imóvel. A dívida deverá ser liquidada em 120 prestações mensais e consecutivas, de acordo com o Sistema de Amortização Constante (SAC), vencendo a primeira prestação um mês após a realização do contrato. Sabendo-se que a taxa de juros é de 1% ao mês, tem-se que o valor da 50ª prestação, em R$, é igual a

 

Provas

Questão presente nas seguintes provas
286499 Ano: 2008
Disciplina: Matemática Financeira
Banca: FCC
Orgão: MPE-RS
Provas:

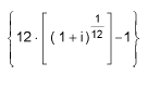
A taxa nominal i ao ano, com capitalização mensal, corresponde a uma taxa efetiva anual de

 

Provas

Questão presente nas seguintes provas
286498 Ano: 2008
Disciplina: Matemática Financeira
Banca: FCC
Orgão: MPE-RS
Provas:

Duas duplicatas com a soma dos respectivos valores nominais igual a R$ 22.000,00 são descontadas em um banco segundo uma operação de desconto bancário simples, a uma taxa de 36% ao ano. A primeira é descontada 2 meses antes de seu vencimento e a segunda 3 meses antes. Se a soma dos valores dos descontos das duas duplicatas foi igual a R$ 1.680,00, então o maior valor nominal das duplicatas, em R$, é igual a

 

Provas

Questão presente nas seguintes provas
286497 Ano: 2008
Disciplina: Matemática Financeira
Banca: FCC
Orgão: MPE-RS
Provas:

Uma pessoa investe em um banco um capital C, durante 9 meses, a uma taxa de juros simples de 27% ao ano. No final do período, ela resgata todo o montante e o investe totalmente em outro banco, a uma taxa de juros simples de 36% ao ano, durante 10 meses. Verificando-se que o montante referente ao segundo investimento foi igual a R$ 18.759,00, tem-se que o valor de C, em R$, é igual a

 

Provas

Questão presente nas seguintes provas
286496 Ano: 2008
Disciplina: Matemática Financeira
Banca: FCC
Orgão: MPE-RS
Provas:

O Banco Rendas S.A. está sendo processado pela Empresa CobraTudo S.A. por não ter reconhecido a variação de índice de preços no ano de 2007, em sua aplicação financeira, no valor de R$ 1.200.000,00, feita em 01.01.2007 com resgate acordado para 30.06.2007. Para efeito de atualização estavam previstas as seguintes condições:

I. Atualização pela variação de índice de preços, calculada pelo critério de capitalização composta, que no período teve as seguintes variações:

Enunciado 286496-1

Considerar para o cálculo que:

II. Os juros de mora de 1% são reconhecidos a juros simples, sobre a variação de índice de preços e multa, após o primeiro mês de vencimento.

III. A multa é de 10% sobre o rendimento devido.

Efetuando os cálculos, o perito deve determinar como valor da causa, em 30 de junho de 2007, a importância, em R$, de

 

Provas

Questão presente nas seguintes provas