Foram encontradas 765 questões.
Nos sistemas de corpos rígidos, distinguem-se dois tipos de vínculos: os intrínsecos e os extrínsecos. Os primeiros estabelecem-se entre dois corpos de sistemas distintos ou não. Os últimos restringem a mobilidade relativa dos corpos que compõem o sistema.
Provas
Qualquer movimento plano (as partículas do corpo se movem em planos paralelos), que não seja de translação ou de rotação em torno de um eixo fixo, é considerado um movimento plano geral.
Provas
Considere o movimento plano de uma placa metálica qualquer. Nesse caso, se a velocidade linear de um ponto A da placa for conhecida, então as velocidades lineares dos pontos B e C da placa podem ser determinadas a partir da aceleração angular do corpo e dos vetores posição AB e AC.
Provas
Se um corpo rígido encontra-se em translação, então todos os pontos do corpo têm, em qualquer instante, a mesma velocidade e a mesma aceleração.
Provas
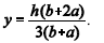
Julgue os itens subsequëntes, com relação a geometria das massas.
A ordenada y do centro de gravidade C do trapézio de bases b e a e altura h, ilustrado na figura abaixo, é ![]()

Provas
Julgue os itens subsequëntes, com relação a geometria das massas.
Os momentos de inércia, assim como o produto de inércia são grandezas essencialmente positivas.
Provas
Julgue os itens subsequëntes, com relação a geometria das massas.
O teorema de Steiner permite a determinação do momento de inércia de uma área por meio da integral do quadrado da distância r de um elemento de área dA até um ponto O escolhido arbitrariamente no sistema de referência.
Provas
Julgue os itens subsequëntes, com relação a geometria das massas.
O momento de inércia polar em relação a um ponto O é igual ao quadrado do momento de inércia em relação a esse ponto, o qual deverá estar na origem do sistema de referência.
Provas
Julgue os itens subsequëntes, com relação a geometria das massas.
As coordenadas (x, y) do centro de gravidade de uma região plana limitada são dadas pelo quociente entre os momentos estáticos dessa região e a área total da região.
Provas
Os diagramas de esforços são a representação gráfica dos esforços internos atuantes em uma estrutura. Para uma estrutura plana, carregada no mesmo plano, têm-se os diagramas de esforços normais, de esforços cortantes e de momentos fletores e torsores.
Provas
Caderno Container