Foram encontradas 50 questões.
Cerca de 47,4 mil moradores do Entorno passam a votar na capital
(5/9/2010) As eleições no Distrito Federal vão ganhar um reforço de 186,5 mil novos eleitores em 2010. São pessoas que em 2006 não votavam na capital federal, mas desde então transferiram o título para Brasília. Desse total, 47,4 mil são de cidades do Entorno, o equivalente a 25,4%. Gente com certa particularidade, que vem votar no DF quando a eleição é aqui e costuma voltar para as cidades fronteiriças de Goiás e de Minas Gerais durante os pleitos municipais.

Considerando as informações do texto, assinale a alternativa correta.
(5/9/2010) As eleições no Distrito Federal vão ganhar um reforço de 186,5 mil novos eleitores em 2010. São pessoas que em 2006 não votavam na capital federal, mas desde então transferiram o título para Brasília. Desse total, 47,4 mil são de cidades do Entorno, o equivalente a 25,4%. Gente com certa particularidade, que vem votar no DF quando a eleição é aqui e costuma voltar para as cidades fronteiriças de Goiás e de Minas Gerais durante os pleitos municipais.

Considerando as informações do texto, assinale a alternativa correta.
Provas
Questão presente nas seguintes provas





Provas
Questão presente nas seguintes provas





Provas
Questão presente nas seguintes provas


Provas
Questão presente nas seguintes provas


Provas
Questão presente nas seguintes provas


Provas
Questão presente nas seguintes provas




Provas
Questão presente nas seguintes provas
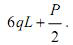
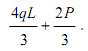
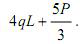
A figura a seguir ilustra uma viga biapoiada com dois
trechos em balanço, solicitada por uma carga distribuída q e
uma carga concentrada P aplicada na extremidade do
balanço de maior comprimento.

No texto III, o valor da reação vertical no apoio A, em módulo, é igual a trechos em balanço, solicitada por uma carga distribuída q e
uma carga concentrada P aplicada na extremidade do
balanço de maior comprimento.

Provas
Questão presente nas seguintes provas
- Aspectos Gerais da Comunicação OficialPrincípios da Redação Oficial
- Manual de Redação da Presidência da RepúblicaAs Comunicações OficiaisPadrão OfícioPartes do documento no Padrão Ofício
- Manual de Redação da Presidência da RepúblicaAs Comunicações OficiaisPadrão OfícioO Padrão Ofício


Levando em consideração que a diagramação do memorando em estudo adapta-se ao espaço próprio desta prova e com base no Manual de redação da Presidência da República (Gilmar Ferreira Mendes e Nestor José Forster Júnior. 2.ª ed. rev. e atual. Brasília: Presidência da República, 2002.), assinale a alternativa correta.
Provas
Questão presente nas seguintes provas
Assinale a alternativa que não encontra amparo na legislação de regência da modalidade pregão na forma eletrônica.
Provas
Questão presente nas seguintes provas
Cadernos
Caderno Container