Foram encontradas 40 questões.

Em relação à instalação acima, qual o procedimento para a sua melhor utilização?
Provas
Para determinar a resistência interna de uma bateria real de força eletromotriz ε = 60 V, foram utilizados dois resistores ôhmicos, cada um com resistência elétrica R. Um amperímetro A, de resistência interna desprezível, foi utilizado para medição da corrente elétrica. Para os circuitos 1 e 2, ilustrados na figura abaixo, o amperímetro registrou, respectivamente, 0,20 A e 0,70 A.

O valor, em ohms, da resistência interna da bateria está entre
Provas
Uma máquina térmica reversível opera, a cada ciclo, recebendo 600 J de uma fonte quente e liberando 200 J para o ambiente, cuja temperatura se encontra a 27,0 °C. Qual a temperatura, em Celsius, da fonte quente?
Provas
Um corpo de 0,5 kg encontra-se com velocidade de 10 m/s, no ponto 1, e mantém-se com essa velocidade no trecho horizontal até que comece a subir, conforme representa a figura abaixo.

Despreze qualquer tipo de atrito e considere a gravidade local como 10 m/s2. A correta comparação entre as forças de reação normal da superfície sobre o corpo, nos pontos 1, 2 e 3, é
Provas
O sistema ilustrado na figura a seguir foi utilizado para medir a pressão do gás contido no interior de um botijão. O fluido manométrico é o mercúrio (Hg), cuja densidade é 13,6 g.cm–3.

Dado: 1 atm = 1,01 x 105 Pa = 76,0 cmHg
Sabendo-se que, no local, a aceleração da gravidade é 9,80 m.s–2 e a pressão atmosférica é 8,00 x 104 Pa, a pressão exercida pelo gás, em cmHg, é
Provas

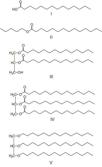
Além da sua utilização na indústria alimentícia, os óleos vegetais são de suma importância para a indústria, pois são matérias-primas para a produção de ácidos graxos, glicerina, lubrificantes, carburantes, biodiesel, entre outros. Considerando-se que os óleos vegetais são constituídos apenas por triglicerídeos ou triacilgliceróis, qual das substâncias acima representa um óleo vegetal?
Provas
Considere os seguintes óxidos de nitrogênio:
NO, NO2, N2O, N2O3 e N2O5. Desses, os classificados como anidridos são
Provas

O produto natural esqualeno, representado acima, é encontrado em pequenas quantidades nos óleos vegetais brutos e é utilizado como aditivo nas vacinas contra os vírus da gripe H1N1, já que ocorre um aumento na resposta imune do organismo. Analise as afirmativas a seguir relativas ao esqualeno.
I – Possui fórmula molecular C30H50.
II – É um hidrocarboneto de cadeia saturada e ramificada.
III – Tem 6 carbonos terciários.
IV – Suas duplas ligações são conjugadas.
Está correto APENAS o que se afirma em
Provas
Uma amostra de aço foi tratada com ácido nítrico concentrado, convertendo todo o ferro contido na amostra em íons Fe2+, formando uma solução. Para determinar a quantidade de íons Fe2+ presente na solução, foi realizada uma titulação contra uma solução padrão de permanganato de potássio. Nessa reação, que ocorre em meio ácido, os íons Fe2+ são oxidados a íons Fe3+, enquanto que o permanganato é reduzido a íons Mn2+. Considerando-se que a reação tenha um rendimento de 100 %, a quantidade de matéria de íons Fe2+, em mol, necessária para consumir 1,0 mol de permanganato é de
Provas
Disciplina: Segurança e Saúde no Trabalho (SST)
Banca: CESGRANRIO
Orgão: PBIO
São atribuições do Presidente e do Vice-Presidente da CIPA, em conjunto, EXCETO
Provas
Caderno Container