Foram encontradas 280 questões.
O esterno e as costelas compõem os ossos da parede torácica. As costelas III a IX são chamadas típicas por terem características comuns à maioria. Assinale a alternativa que indica as características que tornam as costelas I e II atípicas.
Provas
Questão presente nas seguintes provas
As doenças sexualmente transmissíveis constituem um grupo de infecções causadas por microorganismos de natureza diversa. Seu agrupamento ocorre em função da influência do contato sexual na sua epidemiologia. A alta prevalência entre parceiros sexuais leva ao principio de tratamento epidemiológico segundo o qual os parceiros de indivíduos acometidos por alguns dos agentes devam ser tratados na apresentação inicial, independentemente de terem o diagnóstico. Aponte entre os agentes abaixo aquele no qual não se aplica o princípio do tratamento epidemiológico do parceiro sexual.
Provas
Questão presente nas seguintes provas
A base lógica para terapia hormonal do câncer de próstata reside nos efeitos dos androgênios sobre o crescimento e a diferenciação da próstata normal.
Não pertence à classe dos agonistas do hormônio liberador do hormônio luteinizante.
Não pertence à classe dos agonistas do hormônio liberador do hormônio luteinizante.
Provas
Questão presente nas seguintes provas
Considerando a análise de substâncias orgânicas por cromatografia em camada delgada, assinale a afirmativa correta.
Provas
Questão presente nas seguintes provas
Assinale a alternativa que apresenta uma substância que não faz parte da classe dos fármacos da classe dos anticolinesterásicos.
Provas
Questão presente nas seguintes provas
Sobre os alcalóides tropânicos, assina a afirmativa incorreta.
Provas
Questão presente nas seguintes provas
Considerando a reação de cloreto de acila, utilizando-se como catalisador tricloreto de alumínio com diferentes substratos aromáticos (mesmo que sejam difícil de sintetizar), o que deve levar a um maior rendimento químico (de 0 a 100%) e uma orientação para substituição preferencial na posição orto, seria a molécula
Provas
Questão presente nas seguintes provas
Considerando os fármacos ibuprofeno, ácido acetil salicílico e nimesulida, em termos de seu mecanismo de ação farmacodinâmico molecular, assinale a afirmativa correta.
Provas
Questão presente nas seguintes provas
Sobre os fármacos utilizados na terapia dos distúrbios neurológicos, assinale a afirmativa incorreta.
Provas
Questão presente nas seguintes provas
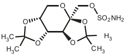
Ao se analisar o topiramato, fármaco que atua no sistema nervoso central, pode ser proposto o uso da cromatografia líquida de alta eficiência para determinação de seu teor.

Dica: na análise por cromatografia em camada delgada desta substância, é recomendado o uso de ácido fosfomolibdico como revelador.
Observando-se sua estrutura química, pode-se utilizar como detector para esta análise cromatográfica

Dica: na análise por cromatografia em camada delgada desta substância, é recomendado o uso de ácido fosfomolibdico como revelador.
Observando-se sua estrutura química, pode-se utilizar como detector para esta análise cromatográfica
Provas
Questão presente nas seguintes provas
Cadernos
Caderno Container