Foram encontradas 60 questões.
Um laboratório está testando um tipo de isca para formigas. A isca tem o formato de uma circunferência e foi fixada numa bancada experimental, quadriculada por um plano cartesiano, com centro em (0, -2). Uma formiga tangenciou a isca no ponto (1, 2).
A equação da reta tangente à circunferência nesse ponto é dada por:
A equação da reta tangente à circunferência nesse ponto é dada por:
Provas
Questão presente nas seguintes provas
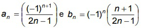
Duas sequências são formadas pelos termos gerais:
. Quando n tende para o infinito, pode-se observar que o comportamento dessas sequências é dado, respectivamente, por:
. Quando n tende para o infinito, pode-se observar que o comportamento dessas sequências é dado, respectivamente, por:Provas
Questão presente nas seguintes provas
Um policial faz sua ronda em uma região formada por 16 quarteirões dispostos segundo a figura abaixo. Ele encontrava-se exatamente no ponto P quando recebeu um aviso pelo rádio informando sobre um assaltante localizado no ponto A. O policial dirige-se ao local em que se encontra o assaltante pelo caminho mais curto, isto é, movendo-se da esquerda para a direita e de baixo para cima.

Nessas condições, o número de caminhos diferentes que o policial poderá fazer é:

Nessas condições, o número de caminhos diferentes que o policial poderá fazer é:
Provas
Questão presente nas seguintes provas
O Sr. João é um economista aposentado que resolveu melhorar sua qualidade de vida comprando uma pousada com 40 suítes em uma bela região praiana. Com base em dados do proprietário anterior, ele deduziu duas funções para gerenciar seu negócio: a função do preço (p) por diária da suíte (x) e a da receita (R). As funções foram definidas, respectivamente, por: p( x ) = - 5x + 350 e R ( x ) = - 5x2 + 350 x.
Considerando essas funções, o preço que o Sr. João deve cobrar para maximizar a receita é
Considerando essas funções, o preço que o Sr. João deve cobrar para maximizar a receita é
Provas
Questão presente nas seguintes provas
Redução da maioridade penal: O elo perdido
Robson Sávio Reis Souza
[...]
Enquanto apontamos os dedos para adolescentes infratores, milícias e esquadrões da morte formados, inclusive, por agentes públicos, continuam impunes.
A redução da maioridade penal pode ser defensável sob o ponto de vista da racionalidade instrumental pós-moderna, do minimalismo midiático, das emoções pessoais e mesmo do sentimento coletivo de vingança e punição. Porém, não se sustenta sob o ponto de vista de uma ética da alteridade, da generosidade e da responsabilidade de todos nós, adultos, que devemos reconhecer que o segmento mais vulnerável da nossa população, os adolescentes - tratados como "futuro do país" -, não tem seus direitos garantidos no presente.
A querela acerca da redução da maioridade penal em boa medida é fruto do sensacionalismo e do desconhecimento em relação à ampliação descomunal do Estado penal. Lastreado na exploração da emoção e na desinformação da maioria dos brasileiros sobre a baixa eficiência das políticas públicas protetivas - que deveriam preceder qualquer medida punitiva -, esse debate sustenta, lamentavelmente, o discurso oportunista e eleitoreiro de políticos que descumprem impunemente aquilo que tanto atacam o ECA.
A relação entre a violência e a imputabilidade penal é um sofisma. O debate sobre o tempo da pena ou da idade do infrator é secundário. Serve para lançar uma nuvem de fumaça a encobrir a questão fulcral: quais são condições objetivas que favorecem a criminalidade em nosso país?
Nossas crianças e adolescentes demandam por mais Estado constitucional e menos Estado penal.
Robson Sávio Reis Souza
[...]
Enquanto apontamos os dedos para adolescentes infratores, milícias e esquadrões da morte formados, inclusive, por agentes públicos, continuam impunes.
A redução da maioridade penal pode ser defensável sob o ponto de vista da racionalidade instrumental pós-moderna, do minimalismo midiático, das emoções pessoais e mesmo do sentimento coletivo de vingança e punição. Porém, não se sustenta sob o ponto de vista de uma ética da alteridade, da generosidade e da responsabilidade de todos nós, adultos, que devemos reconhecer que o segmento mais vulnerável da nossa população, os adolescentes - tratados como "futuro do país" -, não tem seus direitos garantidos no presente.
A querela acerca da redução da maioridade penal em boa medida é fruto do sensacionalismo e do desconhecimento em relação à ampliação descomunal do Estado penal. Lastreado na exploração da emoção e na desinformação da maioria dos brasileiros sobre a baixa eficiência das políticas públicas protetivas - que deveriam preceder qualquer medida punitiva -, esse debate sustenta, lamentavelmente, o discurso oportunista e eleitoreiro de políticos que descumprem impunemente aquilo que tanto atacam o ECA.
A relação entre a violência e a imputabilidade penal é um sofisma. O debate sobre o tempo da pena ou da idade do infrator é secundário. Serve para lançar uma nuvem de fumaça a encobrir a questão fulcral: quais são condições objetivas que favorecem a criminalidade em nosso país?
Nossas crianças e adolescentes demandam por mais Estado constitucional e menos Estado penal.
(Excerto do Artigo publicado no Jornal Estado de Minas, de 25/05/2013,Caderno "Pensar e Agir").
Provas
Questão presente nas seguintes provas
Redução da maioridade penal: O elo perdido
Robson Sávio Reis Souza
[...]
Enquanto apontamos os dedos para adolescentes infratores, milícias e esquadrões da morte formados, inclusive, por agentes públicos, continuam impunes.
A redução da maioridade penal pode ser defensável sob o ponto de vista da racionalidade instrumental pós-moderna, do minimalismo midiático, das emoções pessoais e mesmo do sentimento coletivo de vingança e punição. Porém, não se sustenta sob o ponto de vista de uma ética da alteridade, da generosidade e da responsabilidade de todos nós, adultos, que devemos reconhecer que o segmento mais vulnerável da nossa população, os adolescentes - tratados como "futuro do país" -, não tem seus direitos garantidos no presente.
A querela acerca da redução da maioridade penal em boa medida é fruto do sensacionalismo e do desconhecimento em relação à ampliação descomunal do Estado penal. Lastreado na exploração da emoção e na desinformação da maioria dos brasileiros sobre a baixa eficiência das políticas públicas protetivas - que deveriam preceder qualquer medida punitiva -, esse debate sustenta, lamentavelmente, o discurso oportunista e eleitoreiro de políticos que descumprem impunemente aquilo que tanto atacam o ECA.
A relação entre a violência e a imputabilidade penal é um sofisma. O debate sobre o tempo da pena ou da idade do infrator é secundário. Serve para lançar uma nuvem de fumaça a encobrir a questão fulcral: quais são condições objetivas que favorecem a criminalidade em nosso país?
Nossas crianças e adolescentes demandam por mais Estado constitucional e menos Estado penal.
Robson Sávio Reis Souza
[...]
Enquanto apontamos os dedos para adolescentes infratores, milícias e esquadrões da morte formados, inclusive, por agentes públicos, continuam impunes.
A redução da maioridade penal pode ser defensável sob o ponto de vista da racionalidade instrumental pós-moderna, do minimalismo midiático, das emoções pessoais e mesmo do sentimento coletivo de vingança e punição. Porém, não se sustenta sob o ponto de vista de uma ética da alteridade, da generosidade e da responsabilidade de todos nós, adultos, que devemos reconhecer que o segmento mais vulnerável da nossa população, os adolescentes - tratados como "futuro do país" -, não tem seus direitos garantidos no presente.
A querela acerca da redução da maioridade penal em boa medida é fruto do sensacionalismo e do desconhecimento em relação à ampliação descomunal do Estado penal. Lastreado na exploração da emoção e na desinformação da maioria dos brasileiros sobre a baixa eficiência das políticas públicas protetivas - que deveriam preceder qualquer medida punitiva -, esse debate sustenta, lamentavelmente, o discurso oportunista e eleitoreiro de políticos que descumprem impunemente aquilo que tanto atacam o ECA.
A relação entre a violência e a imputabilidade penal é um sofisma. O debate sobre o tempo da pena ou da idade do infrator é secundário. Serve para lançar uma nuvem de fumaça a encobrir a questão fulcral: quais são condições objetivas que favorecem a criminalidade em nosso país?
Nossas crianças e adolescentes demandam por mais Estado constitucional e menos Estado penal.
(Excerto do Artigo publicado no Jornal Estado de Minas, de 25/05/2013,Caderno "Pensar e Agir").
Provas
Questão presente nas seguintes provas
Quanto à classificação das figuras de linguagem presentes nas seguintes propagandas, a alternativa INCORRETA é:
Provas
Questão presente nas seguintes provas
Redução da maioridade penal: O elo perdido
Robson Sávio Reis Souza
Todas as vezes que ocorre um crime a provocar grande comoção nacional, parte da sociedade brasileira - capitaneada por um discurso minimalista e conservador, com repercussão imediata na grande mídia - clama por leis draconianas como lenitivo para diminuir a criminalidade violenta. Foi assim com a "criação" da lei de crimes hediondos, por exemplo. O resultado desse tipo de medida repressiva e pontual - objetivando o adensamento do estado penal - não apresenta resultado efetivo em termos de diminuição dos crimes.
É admissível e compreensível que, diante de um crime bárbaro, os parentes da vítima desejem vingança. Sob o ponto de vista privado, essa é uma prerrogativa do indivíduo; dos que sofrem a violência desproporcional de qualquer forma e estão sob o impacto dela. Porém, o Estado não tem essa prerrogativa. Considerando-se que o indivíduo pode, intimamente, desejar vingança (haja vista nossa cultura judaico-cristã, que valoriza os atos sacrificiais), o Estado - mantenedor das conquistas do processo civilizatório, cuja base está na garantia dos direitos humanos - não pode ser vingativo e passional em seus atos.
A mesma indignação que move muitas pessoas a desejarem o recrudescimento penal (desde que seja sempre direcionado para o outro) em momentos de comoção não é mobilizadora frente à violência e carnificina generalizadas que atingem, cotidianamente, milhares de pessoas. Segundo o Ministério da Saúde, do total de 1.103.088 mortes notificadas em 2009, 138.697 (12,5%) foram decorrentes de causas externas (que poderiam ser evitáveis), representando a terceira causa mais frequente de morte no Brasil.
A resposta simplista, da sociedade e do Estado, para enfrentar a criminalidade violenta é o encarceramento. Nos últimos 20 anos, nosso sistema prisional teve um crescimento de 450%. Hoje, são mais de 550 mil presos (cerca de 60% cometeram crimes contra o patrimônio; 30%, crimes relacionados a drogas e menos de 10% crimes contra a vida). Superlotado, o sistema prisional tem um déficit de cerca de 250 mil vagas. Em condições degradantes e subumanas, quase 80% dos egressos prisionais voltam a praticar crimes. É neste sistema que desejamos trancafiar adolescentes autores de atos infracionais?
Paradoxalmente, nesse período de brutal encarceramento, as taxas de crimes violentos mantiveram-se em patamares elevadíssimos. A Organização Mundial de Saúde informa que taxas de homicídio acima de 10 mortes por 100 mil habitantes são epidêmicas. A média brasileira, nesse quesito, é de 29 por 100 mil, sendo que na maioria das capitais essa cifra supera 30 homicídios por 100 mil, chegando, por exemplo, em Maceió, à estrondosa cifra de 86 por 100 mil, ou seja, oito vezes mais do que o aceitável. Segundo relatório recente da ONG mexicana Conselho Cidadão para Segurança Pública e Justiça Penal, dentre as 34 nações mais violentas, o Brasil encontra-se em 13º lugar. No ranking das 50 cidades mais violentas do mundo, 15 são do Brasil. Por que assistimos a esse massacre com tanta passividade? [...]
(Excerto do Artigo publicado no Jornal Estado de Minas, de 25/05/2013, Caderno "Pensar e Agir").
Robson Sávio Reis Souza
Todas as vezes que ocorre um crime a provocar grande comoção nacional, parte da sociedade brasileira - capitaneada por um discurso minimalista e conservador, com repercussão imediata na grande mídia - clama por leis draconianas como lenitivo para diminuir a criminalidade violenta. Foi assim com a "criação" da lei de crimes hediondos, por exemplo. O resultado desse tipo de medida repressiva e pontual - objetivando o adensamento do estado penal - não apresenta resultado efetivo em termos de diminuição dos crimes.
É admissível e compreensível que, diante de um crime bárbaro, os parentes da vítima desejem vingança. Sob o ponto de vista privado, essa é uma prerrogativa do indivíduo; dos que sofrem a violência desproporcional de qualquer forma e estão sob o impacto dela. Porém, o Estado não tem essa prerrogativa. Considerando-se que o indivíduo pode, intimamente, desejar vingança (haja vista nossa cultura judaico-cristã, que valoriza os atos sacrificiais), o Estado - mantenedor das conquistas do processo civilizatório, cuja base está na garantia dos direitos humanos - não pode ser vingativo e passional em seus atos.
A mesma indignação que move muitas pessoas a desejarem o recrudescimento penal (desde que seja sempre direcionado para o outro) em momentos de comoção não é mobilizadora frente à violência e carnificina generalizadas que atingem, cotidianamente, milhares de pessoas. Segundo o Ministério da Saúde, do total de 1.103.088 mortes notificadas em 2009, 138.697 (12,5%) foram decorrentes de causas externas (que poderiam ser evitáveis), representando a terceira causa mais frequente de morte no Brasil.
A resposta simplista, da sociedade e do Estado, para enfrentar a criminalidade violenta é o encarceramento. Nos últimos 20 anos, nosso sistema prisional teve um crescimento de 450%. Hoje, são mais de 550 mil presos (cerca de 60% cometeram crimes contra o patrimônio; 30%, crimes relacionados a drogas e menos de 10% crimes contra a vida). Superlotado, o sistema prisional tem um déficit de cerca de 250 mil vagas. Em condições degradantes e subumanas, quase 80% dos egressos prisionais voltam a praticar crimes. É neste sistema que desejamos trancafiar adolescentes autores de atos infracionais?
Paradoxalmente, nesse período de brutal encarceramento, as taxas de crimes violentos mantiveram-se em patamares elevadíssimos. A Organização Mundial de Saúde informa que taxas de homicídio acima de 10 mortes por 100 mil habitantes são epidêmicas. A média brasileira, nesse quesito, é de 29 por 100 mil, sendo que na maioria das capitais essa cifra supera 30 homicídios por 100 mil, chegando, por exemplo, em Maceió, à estrondosa cifra de 86 por 100 mil, ou seja, oito vezes mais do que o aceitável. Segundo relatório recente da ONG mexicana Conselho Cidadão para Segurança Pública e Justiça Penal, dentre as 34 nações mais violentas, o Brasil encontra-se em 13º lugar. No ranking das 50 cidades mais violentas do mundo, 15 são do Brasil. Por que assistimos a esse massacre com tanta passividade? [...]
(Excerto do Artigo publicado no Jornal Estado de Minas, de 25/05/2013, Caderno "Pensar e Agir").
Provas
Questão presente nas seguintes provas
Redução da maioridade penal: O elo perdido
Robson Sávio Reis Souza
Todas as vezes que ocorre um crime a provocar grande comoção nacional, parte da sociedade brasileira - capitaneada por um discurso minimalista e conservador, com repercussão imediata na grande mídia - clama por leis draconianas como lenitivo para diminuir a criminalidade violenta. Foi assim com a "criação" da lei de crimes hediondos, por exemplo. O resultado desse tipo de medida repressiva e pontual - objetivando o adensamento do estado penal - não apresenta resultado efetivo em termos de diminuição dos crimes.
É admissível e compreensível que, diante de um crime bárbaro, os parentes da vítima desejem vingança. Sob o ponto de vista privado, essa é uma prerrogativa do indivíduo; dos que sofrem a violência desproporcional de qualquer forma e estão sob o impacto dela. Porém, o Estado não tem essa prerrogativa. Considerando-se que o indivíduo pode, intimamente, desejar vingança (haja vista nossa cultura judaico-cristã, que valoriza os atos sacrificiais), o Estado - mantenedor das conquistas do processo civilizatório, cuja base está na garantia dos direitos humanos - não pode ser vingativo e passional em seus atos.
A mesma indignação que move muitas pessoas a desejarem o recrudescimento penal (desde que seja sempre direcionado para o outro) em momentos de comoção não é mobilizadora frente à violência e carnificina generalizadas que atingem, cotidianamente, milhares de pessoas. Segundo o Ministério da Saúde, do total de 1.103.088 mortes notificadas em 2009, 138.697 (12,5%) foram decorrentes de causas externas (que poderiam ser evitáveis), representando a terceira causa mais frequente de morte no Brasil.
A resposta simplista, da sociedade e do Estado, para enfrentar a criminalidade violenta é o encarceramento. Nos últimos 20 anos, nosso sistema prisional teve um crescimento de 450%. Hoje, são mais de 550 mil presos (cerca de 60% cometeram crimes contra o patrimônio; 30%, crimes relacionados a drogas e menos de 10% crimes contra a vida). Superlotado, o sistema prisional tem um déficit de cerca de 250 mil vagas. Em condições degradantes e subumanas, quase 80% dos egressos prisionais voltam a praticar crimes. É neste sistema que desejamos trancafiar adolescentes autores de atos infracionais?
Paradoxalmente, nesse período de brutal encarceramento, as taxas de crimes violentos mantiveram-se em patamares elevadíssimos. A Organização Mundial de Saúde informa que taxas de homicídio acima de 10 mortes por 100 mil habitantes são epidêmicas. A média brasileira, nesse quesito, é de 29 por 100 mil, sendo que na maioria das capitais essa cifra supera 30 homicídios por 100 mil, chegando, por exemplo, em Maceió, à estrondosa cifra de 86 por 100 mil, ou seja, oito vezes mais do que o aceitável. Segundo relatório recente da ONG mexicana Conselho Cidadão para Segurança Pública e Justiça Penal, dentre as 34 nações mais violentas, o Brasil encontra-se em 13º lugar. No ranking das 50 cidades mais violentas do mundo, 15 são do Brasil. Por que assistimos a esse massacre com tanta passividade? [...]
(Excerto do Artigo publicado no Jornal Estado de Minas, de 25/05/2013, Caderno "Pensar e Agir").
Robson Sávio Reis Souza
Todas as vezes que ocorre um crime a provocar grande comoção nacional, parte da sociedade brasileira - capitaneada por um discurso minimalista e conservador, com repercussão imediata na grande mídia - clama por leis draconianas como lenitivo para diminuir a criminalidade violenta. Foi assim com a "criação" da lei de crimes hediondos, por exemplo. O resultado desse tipo de medida repressiva e pontual - objetivando o adensamento do estado penal - não apresenta resultado efetivo em termos de diminuição dos crimes.
É admissível e compreensível que, diante de um crime bárbaro, os parentes da vítima desejem vingança. Sob o ponto de vista privado, essa é uma prerrogativa do indivíduo; dos que sofrem a violência desproporcional de qualquer forma e estão sob o impacto dela. Porém, o Estado não tem essa prerrogativa. Considerando-se que o indivíduo pode, intimamente, desejar vingança (haja vista nossa cultura judaico-cristã, que valoriza os atos sacrificiais), o Estado - mantenedor das conquistas do processo civilizatório, cuja base está na garantia dos direitos humanos - não pode ser vingativo e passional em seus atos.
A mesma indignação que move muitas pessoas a desejarem o recrudescimento penal (desde que seja sempre direcionado para o outro) em momentos de comoção não é mobilizadora frente à violência e carnificina generalizadas que atingem, cotidianamente, milhares de pessoas. Segundo o Ministério da Saúde, do total de 1.103.088 mortes notificadas em 2009, 138.697 (12,5%) foram decorrentes de causas externas (que poderiam ser evitáveis), representando a terceira causa mais frequente de morte no Brasil.
A resposta simplista, da sociedade e do Estado, para enfrentar a criminalidade violenta é o encarceramento. Nos últimos 20 anos, nosso sistema prisional teve um crescimento de 450%. Hoje, são mais de 550 mil presos (cerca de 60% cometeram crimes contra o patrimônio; 30%, crimes relacionados a drogas e menos de 10% crimes contra a vida). Superlotado, o sistema prisional tem um déficit de cerca de 250 mil vagas. Em condições degradantes e subumanas, quase 80% dos egressos prisionais voltam a praticar crimes. É neste sistema que desejamos trancafiar adolescentes autores de atos infracionais?
Paradoxalmente, nesse período de brutal encarceramento, as taxas de crimes violentos mantiveram-se em patamares elevadíssimos. A Organização Mundial de Saúde informa que taxas de homicídio acima de 10 mortes por 100 mil habitantes são epidêmicas. A média brasileira, nesse quesito, é de 29 por 100 mil, sendo que na maioria das capitais essa cifra supera 30 homicídios por 100 mil, chegando, por exemplo, em Maceió, à estrondosa cifra de 86 por 100 mil, ou seja, oito vezes mais do que o aceitável. Segundo relatório recente da ONG mexicana Conselho Cidadão para Segurança Pública e Justiça Penal, dentre as 34 nações mais violentas, o Brasil encontra-se em 13º lugar. No ranking das 50 cidades mais violentas do mundo, 15 são do Brasil. Por que assistimos a esse massacre com tanta passividade? [...]
(Excerto do Artigo publicado no Jornal Estado de Minas, de 25/05/2013, Caderno "Pensar e Agir").
Provas
Questão presente nas seguintes provas
“De Frente pro Crime” (João Bosco - Aldir Blanc)
Tá lá o corpo estendido no chão
Em vez de um rosto uma foto de um gol
Em vez de reza uma praga de alguém
E um silêncio servindo de amém.
O bar mais perto depressa lotou
Malandro junto com trabalhador
Um homem subiu na mesa do bar
E fez discurso pra vereador.
Veio camelô vender anel, cordão, perfume barato
E a baiana pra fazer pastel e um bom churrasco de gato
Quatro horas da manhã baixou o santo na porta-bandeira
E a moçada resolveu parar, e então...
Ta lá o corpo estendido no chão
Em vez de um rosto uma foto de um gol
Em vez de reza uma praga de alguém
E um silêncio servindo de amém.
Sem pressa foi cada um pro seu lado
Pensando numa mulher ou num time
Olhei o corpo no chão e fechei
Minha janela de frente pro crime.
É CORRETO afirmar que o tema principal dessa música é a
Tá lá o corpo estendido no chão
Em vez de um rosto uma foto de um gol
Em vez de reza uma praga de alguém
E um silêncio servindo de amém.
O bar mais perto depressa lotou
Malandro junto com trabalhador
Um homem subiu na mesa do bar
E fez discurso pra vereador.
Veio camelô vender anel, cordão, perfume barato
E a baiana pra fazer pastel e um bom churrasco de gato
Quatro horas da manhã baixou o santo na porta-bandeira
E a moçada resolveu parar, e então...
Ta lá o corpo estendido no chão
Em vez de um rosto uma foto de um gol
Em vez de reza uma praga de alguém
E um silêncio servindo de amém.
Sem pressa foi cada um pro seu lado
Pensando numa mulher ou num time
Olhei o corpo no chão e fechei
Minha janela de frente pro crime.
É CORRETO afirmar que o tema principal dessa música é a
Provas
Questão presente nas seguintes provas
Cadernos
Caderno Container