Foram encontradas 60 questões.
Provas

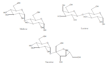
Sobre os dissacarídeos representados acima, é correto afirmar que:
Provas
A respeito das propriedades de um solvente para recristalização, avalie as seguintes afirmativas.
I. deve solubilizar a frio a amostra.
II. deve solubilizar só a quente a amostra.
III. deve solubilizar só o composto e deixar todas as impurezas insolúveis.
Assinale:
Provas
Provas
- Química OrgânicaFunções Nitrogenadas: Amina, Amida, Nitrila, Isonitrila e Nitro Composto
- Química OrgânicaFunções Oxigenadas: Álcool, Fenol e Enol
- Química OrgânicaFunções Oxigenadas: Cetona, Aldeído, Éter, Éster, Ácido Carboxílico etc.
- Química OrgânicaHidrocarbonetos
O ácido acetilsalicílico é muito utilizado na medicina. Ele pode ser obtido pela reação de ácido salicílico com:

Provas
- Química OrgânicaFunções Oxigenadas: Cetona, Aldeído, Éter, Éster, Ácido Carboxílico etc.
- Química OrgânicaPropriedades Físicas dos Compostos Orgânicos
Provas
Provas

O reagente utilizado para este fim é o:
Provas
- Química OrgânicaFunções Nitrogenadas: Amina, Amida, Nitrila, Isonitrila e Nitro Composto
- Química OrgânicaFunções Oxigenadas: Álcool, Fenol e Enol
- Química OrgânicaFunções Oxigenadas: Cetona, Aldeído, Éter, Éster, Ácido Carboxílico etc.
- Química OrgânicaHidrocarbonetos
A apreensão de êxtase no Brasil tem crescido nos últimos anos. O aumento do consumo dessa droga sintética por jovens explica essa tendência.

Se reagirmos o princípio ativo de êxtase com solução diluída de ácido clorídrico obteremos:
Provas
Provas
Caderno Container