Magna Concursos

Foram encontradas 100 questões.

722927 Ano: 2014
Disciplina: Raciocínio Lógico
Banca: VUNESP
Orgão: PC-SP
Provas:
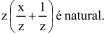
Sendo x um número natural, y um número racional e z um número irracional, pode-se afirmar corretamente que
 

Provas

Questão presente nas seguintes provas
722916 Ano: 2014
Disciplina: Matemática
Banca: VUNESP
Orgão: PC-SP
Provas:
Um quebra-cabeças é formado por 1024 peças. Duas ou mais peças que já estão conectadas formam um bloco. Ao juntarmos duas peças individuais, fazemos um movimento e passamos a ter um bloco de duas peças. A ação de juntar bloco com bloco, ou bloco com peça individual, também conta como um movimento. O menor número de movimentos necessários para montar esse quebra-cabeças é
 

Provas

Questão presente nas seguintes provas
722911 Ano: 2014
Disciplina: Raciocínio Lógico
Banca: VUNESP
Orgão: PC-SP
Provas:
A razão entre o número de homens e o número de mulheres de uma família é de 9 para 10. Após o nascimento de duas meninas, a razão passou a ser de 9 para 11, e a diferença entre o número de mulheres e o de homens passou a ser de
 

Provas

Questão presente nas seguintes provas
722899 Ano: 2014
Disciplina: Raciocínio Lógico
Banca: VUNESP
Orgão: PC-SP
Provas:
Um cursinho oferece aulas de reforço em matemática, física e química. Dos alunos que se inscreveram para esse reforço, 33 optaram por apenas uma disciplina e 15 escolheram as três. O respectivo total de matrículas por disciplina foi 39, 55 e 72, o que permite concluir, corretamente, que o número de alunos matriculados em exatamente duas disciplinas é igual a
 

Provas

Questão presente nas seguintes provas
722895 Ano: 2014
Disciplina: Biologia
Banca: VUNESP
Orgão: PC-SP
Provas:
O corpo humano apresenta alta demanda por oxigênio. Na ausência de oxigênio no corpo humano, as primeiras células que morrem são as
 

Provas

Questão presente nas seguintes provas
722893 Ano: 2014
Disciplina: Biologia
Banca: VUNESP
Orgão: PC-SP
Provas:
Nas células humanas, o citoplasma e o ambiente extracelular apresentam diferenças nas concentrações de sódio e potássio, as quais são mantidas pelo bombeamento ativo de íons pela membrana plasmática, processo denominado de bomba de sódio e potássio.

Considerando essa informação, é correto afirmar que esse mecanismo de transporte ativo
 

Provas

Questão presente nas seguintes provas
722891 Ano: 2014
Disciplina: Biologia
Banca: VUNESP
Orgão: PC-SP
Provas:
É correto afirmar que interações gênicas ocorrem quando
 

Provas

Questão presente nas seguintes provas
722887 Ano: 2014
Disciplina: Biologia
Banca: VUNESP
Orgão: PC-SP
Provas:
Em um exame de necrópsia, foi detectada a ausência de um órgão, o baço, na cavidade abdominal de um corpo humano. Considerando a função do baço, a consequência da remoção desse órgão no organismo humano é um quadro de
 

Provas

Questão presente nas seguintes provas
722885 Ano: 2014
Disciplina: Biologia
Banca: VUNESP
Orgão: PC-SP
Provas:
O principal órgão que compõe o sistema excretor dos vertebrados é o(a)
 

Provas

Questão presente nas seguintes provas
722872 Ano: 2014
Disciplina: Biologia
Banca: VUNESP
Orgão: PC-SP
Provas:
Considere o heredograma a seguir.

enunciado 722872-1

Os indivíduos II-2 e III-2 são afetados por um distúrbio de coagulação sanguínea, a hemofilia, que tem herança recessiva ligada ao sexo. Analisando esse heredograma, é correto concluir que a probabilidade
 

Provas

Questão presente nas seguintes provas