Foram encontradas 80 questões.
As ondas sísmicas S possuem a peculiaridade de não se propagarem:
Provas
As chamadas ondas de corpo são as que se propagam dentro de um meio. Assinale a opção que contém apenas ondas de corpo.
Provas
Dadas duas massas pontuais M1 e M2 separadas por uma distância D, se as massas M1 e M2, bem como a distância D, forem duplicadas, o que acontece com a atração gravitacional?
Provas

Considerando o ciclo de rasamento ascendente acima esquematizado, qual a sucessão de fácies mais provável, da base para o topo?
Provas
A mais provável seqüência diagenética de uma camada de grainstone oolítico soterrada a 2.500 m e a porosidade dominante, considerando que os oolitos fazem parte de um hemiciclo transgressivo de 5ª ordem inserido no trato transgressivo de um ciclo de 3ª ordem, respectivamente, são:
Provas

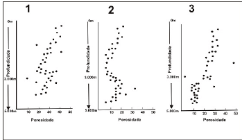
Os gráficos, 1, 2 e 3 acima ilustram dados de porosidade e profundidade, obtidos em arenitos em três poços, em uma mesma bacia. Analisando-os, conclui-se que o(s) gráfico(s):
Provas
Analise os parâmetros dos três corpos de arenitos a seguir, considerando que possuem a mesma espessura, estão a uma mesma profundidade e são portadores de óleo de 20 graus API.
· Arenito turbidítico com 20% de porosidade e 15% cimento de calcita.
· Arenito eólico com 21% de porosidade e 15% de cimento de clorita.
· Arenito fluvial com 22% de porosidade e 15% de cimento de anidrita.
A respeito desses arenitos, é correto afirmar que:
Provas
Na análise das variáveis geológicas, é comum observar-se que o seu variograma vertical apresenta alcance bastante inferior ao do variograma horizontal. Este efeito é denominado de anisotropia:
Provas
Simulated Annealing é uma técnica que tem sido muito empregada para processar as simulações geradas pelos métodos baseados na krigagem, de forma a que sejam adaptadas aos dados dinâmicos dos reservatórios.O método do Simulated Annealing é uma técnica de:
Provas
A grande maioria dos campos gigantes de petróleo do mundo está em carbonatos. No Brasil, entretanto, todos os campos gigantes de petróleo estão em arenitos. Qual a razão mais provável para este fato?
Provas
Caderno Container