Foram encontradas 70 questões.
O equipamento que realiza o seccionamento automático da alimentação, baseado no princípio da corrente diferencial residual (DR), tem sua instalação para a proteção contra contatos indiretos impossibilitada quando for utilizado o esquema de aterramento do tipo:
Provas

A execução de uma obra é representada pelo Diagrama de Rede PERT/CPM acima, cujas atividades a serem executadas são designadas por letras maiúsculas, juntamente com os seus tempos de execução em ut (unidades de tempo). O tempo de conclusão dessa obra, em ut, é de:
Provas
Disciplina: Segurança e Saúde no Trabalho (SST)
Banca: CESGRANRIO
Orgão: Petrobrás
Para construir uma subestação, deve-se atentar para as condições técnicas e econômicas, além de atender ao que preconiza a norma reguladora de seu projeto (NBR-5414). De acordo com estas condições, em uma subestação em torre ou poste, o equipamento utilizado para a proteção contra sobretensão é a(o):
Provas
Disciplina: Segurança e Saúde no Trabalho (SST)
Banca: CESGRANRIO
Orgão: Petrobrás
Em relação à saúde e à segurança no trabalho, assinale a alternativa correta.
Provas
O circuito que alimenta uma carga trifásica equilibrada a partir do QGBT (Quadro Geral de Baixa Tensão - 220/127Vca) está corretamente protegido por um disjuntor com as seguintes características:
• disjuntor termo-magnético tripolar de corrente nominal 125 A;
• tensão nominal 250 Vca/60 Hz;
• capacidade de interrupção de corrente de 20 kA.
Nesta perspectiva, é correto afirmar que o:
Provas
Disciplina: Segurança e Saúde no Trabalho (SST)
Banca: CESGRANRIO
Orgão: Petrobrás
Assinale a afirmação que CONTRARIA o disposto na norma NR-10/2004 - Segurança em Instalações e Serviços em Eletricidade.
Provas
As medidas de Conservação de Energia visam a reduzir o consumo sem a perda de qualidade de vida, de conforto, de segurança e de produtividade. Desta forma, NÃO pode ser considerada como medida de Conservação de Energia o(a):
Provas

O esquema acima apresenta dois interruptores paralelos, uma lâmpada e também os fios de fase e neutro. A ligação que comanda corretamente a lâmpada, através de dois interruptores distintos, se faz conectando:
Provas
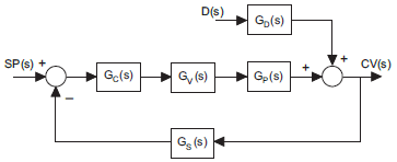
Observe o esquema abaixo.

Assinale a opção que corresponde à expressão correta da função de transferência !$ \large{CV(s)\over SP(s)} !$.
Provas

A expressão lógica que corresponde ao sinal D, no circuito combinacional acima, é:
Provas
Caderno Container