Foram encontradas 70 questões.
O arranjo físico se preocupa com o posicionamento dos recursos de transformação e, por isso, é fundamental para o bom planejamento das instalações. Os quatro tipos básicos de arranjo físico são:
• celular ou de tecnologia de grupo;
• por processo;
• por produto;
• posicional ou de posição fixa.
Nesse contexto, são exemplos de instalações para o arranjo físico
Provas
Provas

A taxa de juros do mercado é
Provas
Considere o gráfico abaixo para responder à questão.

Provas
Uma empresa montadora de equipamentos sabe que os quatro tipos que saem de suas linhas de montagem levam os seguintes tempos para serem confeccionados:
• Equipamento A: 75 minutos;
• Equipamento B: 60 minutos;
• Equipamento C: 45 minutos;
• Equipamento D: 30 minutos.
As encomendas para os próximos períodos indicam que o interesse dos clientes em relação a cada tipo de equipamento segue um comportamento na proporção 1:3:7:9 (demanda desagregada). A empresa trabalha 40 horas por semana e possui 21 funcionários nas linhas de montagem. De quantas unidades é a capacidade de produção semanal?
Provas
Uma pequena empresa está se estruturando para produzir seu principal produto em escala industrial. Para tanto, o arranjo físico e o fluxo dos diversos elementos de produção estão dispostos de acordo com o seguinte diagrama de precedência (os valores entre colchetes representam os tempos de serviço de cada elemento de produção, em minutos):

A demanda semanal é de 3.300 unidades, e o regime de trabalho é de 44 horas por semana. O tempo de ciclo para esse arranjo físico, em segundos, é igual a
Provas
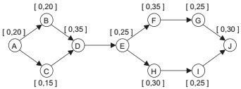
Em uma empresa, o arranjo físico e o fluxo dos diversos elementos de produção estão dispostos de acordo com o diagrama de precedência abaixo (os valores entre colchetes representam os tempos de serviço de cada elemento, em minutos).

A demanda semanal é de 4.000 unidades e o regime de trabalho é de 40 horas semanais. Supondo que o tempo de ciclo seja igual a 36 segundos, a quantidade necessária de estágios para controlar a linha de produção é
Provas
Provas
Determinada empresa nivela a programação de sua produção com base nas melhores práticas de planejamento e controle Just in Time. Assim, em função de cálculos extremamente ajustados, verificou-se que as quantidades necessárias de produtos para atender à demanda no próximo mês são
- produto X: 2.112 unidades;
- produto Y: 1.760 unidades;
- produto Z: 2.640 unidades.
Nessa empresa, um mês é composto por 22 dias úteis, cada dia com 8 horas de trabalho. As quantidades de produtos X, Y e Z que devem ser produzidas em intervalos de tempo mínimos e regulares, de modo a garantir uma programação nivelada, seqüenciada e sincronizada são
| Unidades |
Intervalo de tempo |
||
| X | Y | Z | |
Provas
No nível estratégico, os objetivos de desempenho podem se relacionar e materializar os interesses dos stakeholders das operações. Os cinco objetivos de desempenho são:
• custo;
• confiabilidade;
• flexibilidade;
• qualidade;
• rapidez.
Nesse sentido, é correto afirmar que
Provas
Caderno Container