Magna Concursos

Foram encontradas 3.478 questões.

2882303 Ano: 2010
Disciplina: TI - Desenvolvimento de Sistemas
Banca: CESGRANRIO
Orgão: Petrobrás

No contexto das atividades de análise e projeto de sistemas de software orientados a objetos, são fornecidas as afirmativas abaixo.

I - A modelagem de classes de análise fornece subsídio para a construção da modelagem dinâmica.

II - Os princípios de coesão e de acoplamento são importantes para a correta identificação dos eventos de sistema identificados no modelo de casos.

III - A violação do princípio do encapsulamento do paradigma da orientação a objetos pode levar à atribuição incorreta de responsabilidades às classes de um sistema.

IV - As mensagens que um objeto de classe C envia em um diagrama de sequência (da UML) são úteis para identificar as operações necessárias na interface pública de C.

São corretas APENAS as afirmativas

 

Provas

Questão presente nas seguintes provas
2882302 Ano: 2010
Disciplina: TI - Desenvolvimento de Sistemas
Banca: CESGRANRIO
Orgão: Petrobrás

Na técnica de revisão de software, uma das características das sessões de revisão é que elas

 

Provas

Questão presente nas seguintes provas
2882301 Ano: 2010
Disciplina: TI - Desenvolvimento de Sistemas
Banca: CESGRANRIO
Orgão: Petrobrás

Sobre a modelagem de casos de uso, realizada durante levantamento e análise de requisitos, o(s)

 

Provas

Questão presente nas seguintes provas
2882300 Ano: 2010
Disciplina: TI - Desenvolvimento de Sistemas
Banca: CESGRANRIO
Orgão: Petrobrás

No que tange à usabilidade, acessibilidade e interoperabilidade em sistemas Web, são fornecidas as seguintes afirmativas:

I - Serviços Web (Web Services) permitem a interoperabilidade entre aplicações Web, mesmo que essas aplicações tenham sido desenvolvidas com linguagens de programação diferentes.

II - Testes de usabilidade são projetados por uma equipe de engenharia da Web e conduzidos por usuários finais.

III - Um entrave para a produção de sistemas Web de boa acessibilidade é o fato de que estes normalmente se tornam mais difíceis de serem utilizados por usuários sem alguma deficiência.

É correto APENAS o que se afirma em

 

Provas

Questão presente nas seguintes provas
2882299 Ano: 2010
Disciplina: TI - Desenvolvimento de Sistemas
Banca: CESGRANRIO
Orgão: Petrobrás

Considere o modelo conceitual de dados (representado com o diagrama de classes da UML) a seguir.

Enunciado 3089094-1

Durante o mapeamento desse modelo conceitual para o modelo relacional, um projetista de banco de dados optou pela estratégia de criar uma relação por classe do diagrama. Esse projetista também optou por utilizar uma coluna de implementação como chave estrangeira de cada relação. Sendo assim, a quantidade de relações e a quantidade de chaves estrangeiras resultantes neste mapeamento são, respectivamente,

 

Provas

Questão presente nas seguintes provas
2882298 Ano: 2010
Disciplina: TI - Desenvolvimento de Sistemas
Banca: CESGRANRIO
Orgão: Petrobrás

Sendo n o número de nós de uma árvore AVL, a complexidade temporal para buscar um elemento nesta árvore é

 

Provas

Questão presente nas seguintes provas
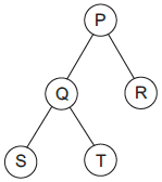
2882297 Ano: 2010
Disciplina: TI - Desenvolvimento de Sistemas
Banca: CESGRANRIO
Orgão: Petrobrás

O método abaixo é executado passando-se como argumento o nó P, raiz da árvore representada na figura.

A saída obtida é: 7, 5, 8, 3, 1,

Enunciado 3089090-1

public void visit( Arv v) {

if (null != v) {

System.out.print(v.valor+", ");

Visit(v.esquerda);

Visit(v.direita);

}

}

Em qual nó está armazenado o número 3?

 

Provas

Questão presente nas seguintes provas
2882296 Ano: 2010
Disciplina: TI - Desenvolvimento de Sistemas
Banca: CESGRANRIO
Orgão: Petrobrás

S.push(1);

S.push(2);

S.push(3);

S.pop();

S.pop();

S.push(4);

S.push(5);

S.pop();

Sendo S uma pilha inicialmente vazia, conforme exposto acima, após as operações, o valor que se encontra no topo da pilha é

 

Provas

Questão presente nas seguintes provas
2882295 Ano: 2010
Disciplina: TI - Desenvolvimento de Sistemas
Banca: CESGRANRIO
Orgão: Petrobrás

Acessibilidade na web significa que pessoas com algum tipo de deficiência podem usar a web. Mais especificamente, estas pessoas com deficiência podem perceber, entender, navegar e interagir, além de poderem contribuir com a produção de conteúdo. Esta necessidade é tão relevante, que o consórcio W3C criou um grupo para discutir iniciativas sobre a questão da acessibilidade na web.

Este grupo define 4 princípios para acessibilidade. Relacione as características dos princípios com seus significados ou uso.

I - Perceptível

II - Operável

III - Compreensível

IV - Robusto

P - Existe descrição textual para as imagens da página.

Q - O site é criado maximizando a compatibilidade com a tecnologia assistiva presente e futura.

R - Evita que o usuário cometa erros, corrigindo e apresentando-os.

S - Toda as funções podem ser acessadas pelo teclado; o mouse é opcional.

T - Desabilita algumas funções do site por segurança em função do grau de deficiência do usuário.

Estão corretas as associações:

 

Provas

Questão presente nas seguintes provas
2882294 Ano: 2010
Disciplina: TI - Desenvolvimento de Sistemas
Banca: CESGRANRIO
Orgão: Petrobrás

Na arquitetura 3 camadas não só os dados estão mais protegidos, como também há facilidade de integração de múltiplas fontes de dados.

PORQUE

O banco de dados não é acessado diretamente pelo cliente, mas sim pelo servidor de aplicações.

Analisando as afirmações acima, conclui-se que

 

Provas

Questão presente nas seguintes provas