Foram encontradas 69 questões.
O peso leve de um navio pode ser obtido experimentalmente através da realização de um teste de inclinação.
Esse teste fornecerá um valor de peso ao qual, para se obter o peso leve da embarcação, é acrescido o peso
Provas
Questão presente nas seguintes provas
No arranjo de acomodações de um navio, devem ser considerados alguns requisitos mínimos de habitabilidade, EXCETO a(s)
Provas
Questão presente nas seguintes provas
A metodologia da espiral de projeto é caracterizada pela sequência de tarefas que incorpora os requisitos iniciais de projeto, os parâmetros geométricos do navio e os itens para análise desses parâmetros, repetindo o processo o quanto for necessário até atingir a convergência de valores desejada.
Nesse contexto, é INCORRETO afirmar-se que
Provas
Questão presente nas seguintes provas
O projeto de um navio é o conjunto de tarefas que vão desde o surgimento da necessidade de obtenção de informações ao final do detalhamento para a construção.
Sobre as características do projeto de um navio, considere as tarefas abaixo.
I - Definição dos requisitos do armador
II - Elaboração de desenhos estruturais de fabricação
III - Elaboração de desenhos de instalação de equipamentos
IV - Estabelecimento das dimensões principais do navio
São tarefas pertencentes à fase de projeto de detalhamento as apresentadas em
Provas
Questão presente nas seguintes provas
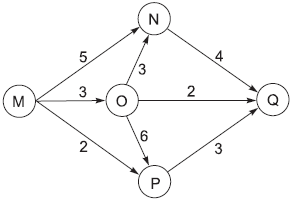
A figura abaixo apresenta a rede de um projeto com a duração das atividades em dias.

Com base no Método do Caminho Crítico (CPM), tomando-se como base o evento M ocorrendo no momento zero, quais são, respectivamente, o caminho crítico e a sua duração?
Provas
Questão presente nas seguintes provas
Para combater um incêndio da classe C, que ocorre em equipamentos elétricos energizados, podem-se utilizar como agentes extintores
Provas
Questão presente nas seguintes provas
Normas e regulamentos internacionais preveem a dotação de alguns equipamentos de salvatagem, segurança e combate a incêndio para o passadiço de um navio petroleiro, EXCETO a dotação de
Provas
Questão presente nas seguintes provas
Considere o sistema de geração de vapor apresentado na figura abaixo.

Se !$ h_i !$ indica o valor da entalpia no estado i, o rendimento térmico do sistema é dado por
Provas
Questão presente nas seguintes provas
As âncoras têm como objetivo aguentar o navio no fundeadouro, evitando que ele seja arrastado por forças externas, como ventos, correntezas ou ondas. Dessa forma, o peso desse equipamento tem um grau de importância elevado no seu projeto.
Para determinar o peso de uma âncora, as Sociedades Classificadoras, normalmente, adotam tabelas próprias que têm como dado de entrada a(o)
Provas
Questão presente nas seguintes provas
Num ciclo Rankine ideal, uma turbina desenvolve uma potência de 20 HP com uma variação de entalpia igual a 100 kcal/kg.
Para essa situação, qual o fluxo de massa de vapor, em kg/min, que passa pela turbina?
Dados: 1 HP 10,7 kcal/min
Provas
Questão presente nas seguintes provas
Cadernos
Caderno Container