Foram encontradas 60 questões.
A média aritmética dos tempos existentes entre o fim de uma falha e início de outra falha em equipamentos reparáveis é representada por TMEF, tempo médio entre falhas, nos conceitos básicos de manutenção. Um equipamento que, durante um ano, operou entre falhas 100 h, depois mais 560 h, depois mais 3.400 h, depois mais 2.000 h, estando o mesmo presente 24h por dia, durante 360 dias no ano, apresenta TMEF de
Provas
Questão presente nas seguintes provas
O trabalho com eletricidade exige procedimentos padronizados e treinamento específico, sendo bastante vulnerável à ocorrência de acidentes, inclusive fatais. A legislação brasileira prevê como matéria constitucional, devidamente regulamentada, o adicional de remuneração para as atividades classificadas como perigosas.
O percentual sobre o salário base de um profissional de eletricidade que constitui o adicional de periculosidade é
Provas
Questão presente nas seguintes provas
O Projeto de Instrumentação é composto por um grande conjunto de documentos que complementam a especificação, a instalação e a conexão dos equipamentos de controle e instrumentação ao sistema.
São elementos importantes a serem especificados no Projeto de Instrumentação:
Provas
Questão presente nas seguintes provas
Associe os símbolos usados na documentação básica de projetos com os objetos por eles representados.
I - 

II - 

III - 

IV - 

P - Sinal pneumático
Q - Trocador de calor
R - Bomba centrífuga
S - Válvula de controle
T - Sinal elétrico
Q - Trocador de calor
R - Bomba centrífuga
S - Válvula de controle
T - Sinal elétrico
Estão corretas as afirmações
Provas
Questão presente nas seguintes provas
Quando cargas elétricas estão presentes na superfície de um corpo não condutor e permanecem estáticas, sem probabilidade de fluírem através da substância, temos a presença de eletricidade estática. Algumas condições favoráveis ao aparecimento da eletricidade estática podem ser: materiais triturados passando através de transportadoras por gravidade (calhas) ou pneumático; vapor, ar, gás ou fluído, escoando de qualquer abertura por um tubo ou mangueira; veículos em movimento; movimentação de toda espécie que envolva mudança nas posições relativas das superfícies de contato. As medidas de correção objetivam que as cargas formadas por qualquer motivo possam reequilibrar-se, evitando situações onde faíscas possam ocorrer.
Uma situação na qual medidas tomadas são corretas, no sentido de evitar centelhas por eletricidade estática no ambiente de trabalho, é:
Provas
Questão presente nas seguintes provas
O gerente de uma sala de controle e instrumentação de uma usina nuclear necessita instalar novos aparelhos com o objetivo de melhorar a segurança dessa usina, no que diz respeito a circulação de pessoas em determinadas áreas, o que somente poderá ocorrer em horários preestabelecidos ou em caráter emergencial e com autorização prévia. Para esse fim, o tipo de sensor a ser instalado poderá ser ou de proximidade ou de distância, objetivando indicar a presença de funcionários ou outras pessoas não autorizadas no ambiente.
Tendo em vista seu principio de funcionamento, o sensor que deverá ser instalado é do tipo
Provas
Questão presente nas seguintes provas
Um grande consumidor de energia elétrica necessita monitorar constantemente a qualidade dessa energia no que diz respeito a geração de harmônicos. Para isso, o responsável pelo monitoramento resolveu instalar um equipamento para verificar as frequências diferentes da frequência fundamental da rede.
Com este objetivo, o tipo de equipamento mais adequado a ser instalado, levando em consideração a observação desses harmônicos, é um
Provas
Questão presente nas seguintes provas
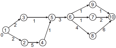
O diagrama de blocos representa a execução de um projeto de instalação de uma subestação de 120 kV, onde o evento 1 (indicado por um círculo com o numeral 1 interno) representa o início das atividades, e o evento 10 (indicado por um círculo com o numeral 10 interno) representa o fim das atividades, ou seja, o término da execução da referida subestação.

Considerando que o número colocado abaixo de cada seta indica a duração, em dias, da execução de cada uma das atividades para a conclusão dos respectivos serviços, afirma-se que a data mais cedo para a conclusão do projeto da subestação, em dias, é igual a
Provas
Questão presente nas seguintes provas
O gráfico de uma tela de tendência histórica de um sistema supervisório é atualizado com uma frequência de 5Hz.
Desse modo, tem-se que
Provas
Questão presente nas seguintes provas
O componente que implementa a IHM (Interface Homem -Máquina) de um sistema supervisório identifica as variáveis a serem apresentadas
Provas
Questão presente nas seguintes provas
Cadernos
Caderno Container