Foram encontradas 2.000 questões.
Um eixo que transmite um torque de 3,0 kN a uma rotação de 1.200 rpm, desenvolve uma potência, em kW, na faixa de
Provas
Questão presente nas seguintes provas
Uma das bombas mais empregadas nas instalações hidráulicas é a bomba centrífuga radial.
O anel de desgaste dessa bomba
O anel de desgaste dessa bomba
Provas
Questão presente nas seguintes provas
Um ciclo de Rankine ideal, que opera conforme a Figura abaixo, possui as seguintes entalpias nos pontos indicados: h1 = 192 kJ/kg, h2 = 204 kJ/kg, h3 = 2.780 kJ/kg e h4 = 2.060 kJ/kg.

Qual o valor do calor rejeitado pelo fluido de trabalho no condensador, em kJ/kg?
Provas
Questão presente nas seguintes provas
- Manutenção MecânicaMétodos (5S, TPM, Produtiva Total, Polivalência ou Multiespecialização)
- Planejamento e Informatização na EngenhariaProcessos e Planejamento de Produção
Um equipamento apresentou no último ano um tempo médio entre falhas de 1.152 horas, enquanto seu tempo médio de reparo foi de 288 horas.
Qual a disponibilidade desse equipamento?
Qual a disponibilidade desse equipamento?
Provas
Questão presente nas seguintes provas
Que vantagem o processo de soldagem TIG pode oferecer?
Provas
Questão presente nas seguintes provas
Duas forças atuam sobre um corpo flutuando: a força peso e a força de empuxo.
O centro de carena de um corpo flutuante é o centro geométrico do(a)
O centro de carena de um corpo flutuante é o centro geométrico do(a)
Provas
Questão presente nas seguintes provas
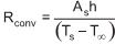
Considere a transferência de calor por convecção de uma superfície sólida de área As e temperatura Ts para um fluido com um coeficiente de transferência de calor por convecção h, e cuja temperatura longe da superfície é T∞.
A resistência térmica da superfície contra o calor, ou simplesmente a resistência de convecção da superfície é dada por
A resistência térmica da superfície contra o calor, ou simplesmente a resistência de convecção da superfície é dada por
Provas
Questão presente nas seguintes provas
Em um diagrama de fases, a reação peritética de uma liga metálica define-se como uma reação trifásica na qual, durante o resfriamento,
Provas
Questão presente nas seguintes provas

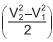
Sabendo-se que (h1 - h2 ) = 900 kJ/kg, e que
= 1,5 kJ/kg, qual a taxa de transferência de calor entre a turbina e a vizinhança, em kW?Provas
Questão presente nas seguintes provas
A simplicidade do modelo de gás perfeito faz com que este seja utilizado nas análises termodinâmicas sempre que possível.
Para verificar se é razoável modelar a substância analisada como um gás perfeito, frequentemente utiliza-se o diagrama generalizado de
Para verificar se é razoável modelar a substância analisada como um gás perfeito, frequentemente utiliza-se o diagrama generalizado de
Provas
Questão presente nas seguintes provas
Cadernos
Caderno Container