Foram encontradas 325 questões.
Disciplina: Matemática Financeira
Banca: CESPE / CEBRASPE
Orgão: Petrobrás
Na Matemática, o conceito de função é freqüentemente utilizado para a modelagem de situações-problema reais. Com respeito a funções tradicionais e bem conhecidas, julgue os itens subseqüentes.
Se R$ 1.000,00 são emprestados a juros compostos de 20% ao mês, durante 2 meses, no final desse período, a dívida do tomador desse empréstimo totaliza R$ 2.100,00, que podem ser calculados pela expressão 1.000 × (1 + 20%)2.
Provas
Na Matemática, o conceito de função é freqüentemente utilizado para a modelagem de situações-problema reais. Com respeito a funções tradicionais e bem conhecidas, julgue os itens subseqüentes.
Para pavimentar e cercar uma área quadrada que mede x m de lado, uma empresa ofereceu os seguintes preços:
• piso: 20 reais por m2;
• cerca: 12 reais por m (linear);
• taxa de serviços: 180 reais.
O preço total da obra — P —, apresentado pela empresa, pode ser calculado pela função quadrática P(x) = 20x2 + 48x + 180.
Provas
Na revista da Associação Brasileira das Empresas de Transporte Rodoviário Intermunicipal, Interestadual e Internacional de Passageiros (ABRATI), de março de 2002, foi publicada a tabela abaixo, que traz o número de mortes ocorridas na Rodovia Presidente Dutra, que liga a cidade do Rio de Janeiro à capital paulista, entre os anos de 1997 e 2000.

De acordo com um conhecido método da Matemática, denominado Método dos Quadrados Mínimos (MQM), esses valores podem ser ajustados (modelados) por uma função linear da forma f(t) = at + b. O ajuste da função, com os dados fornecidos na tabela, está esboçado no gráfico a seguir.

Para se conhecer os números reais a e b que definirão a função linear f(t) será necessário resolver o seguinte sistema de equações lineares, segundo o MQM:

Com base nessas informações, julgue os itens que se seguem.
Considerando a = -67 e b = 437, conclui-se que o número de mortes no ano 2002 deve ter sido menor que 120.
Provas
Na revista da Associação Brasileira das Empresas de Transporte Rodoviário Intermunicipal, Interestadual e Internacional de Passageiros (ABRATI), de março de 2002, foi publicada a tabela abaixo, que traz o número de mortes ocorridas na Rodovia Presidente Dutra, que liga a cidade do Rio de Janeiro à capital paulista, entre os anos de 1997 e 2000.

De acordo com um conhecido método da Matemática, denominado Método dos Quadrados Mínimos (MQM), esses valores podem ser ajustados (modelados) por uma função linear da forma f(t) = at + b. O ajuste da função, com os dados fornecidos na tabela, está esboçado no gráfico a seguir.

Para se conhecer os números reais a e b que definirão a função linear f(t) será necessário resolver o seguinte sistema de equações lineares, segundo o MQM:

Com base nessas informações, julgue os itens que se seguem.
Resolvendo o sistema (I), obtém-se para b um valor menor que 437.
Provas
Na revista da Associação Brasileira das Empresas de Transporte Rodoviário Intermunicipal, Interestadual e Internacional de Passageiros (ABRATI), de março de 2002, foi publicada a tabela abaixo, que traz o número de mortes ocorridas na Rodovia Presidente Dutra, que liga a cidade do Rio de Janeiro à capital paulista, entre os anos de 1997 e 2000.

De acordo com um conhecido método da Matemática, denominado Método dos Quadrados Mínimos (MQM), esses valores podem ser ajustados (modelados) por uma função linear da forma f(t) = at + b. O ajuste da função, com os dados fornecidos na tabela, está esboçado no gráfico a seguir.

Para se conhecer os números reais a e b que definirão a função linear f(t) será necessário resolver o seguinte sistema de equações lineares, segundo o MQM:

Com base nessas informações, julgue os itens que se seguem.
O determinante da matriz dos coeficientes do sistema (I) tem valor negativo.
Provas
Na revista da Associação Brasileira das Empresas de Transporte Rodoviário Intermunicipal, Interestadual e Internacional de Passageiros (ABRATI), de março de 2002, foi publicada a tabela abaixo, que traz o número de mortes ocorridas na Rodovia Presidente Dutra, que liga a cidade do Rio de Janeiro à capital paulista, entre os anos de 1997 e 2000.

De acordo com um conhecido método da Matemática, denominado Método dos Quadrados Mínimos (MQM), esses valores podem ser ajustados (modelados) por uma função linear da forma f(t) = at + b. O ajuste da função, com os dados fornecidos na tabela, está esboçado no gráfico a seguir.

Para se conhecer os números reais a e b que definirão a função linear f(t) será necessário resolver o seguinte sistema de equações lineares, segundo o MQM:

Com base nessas informações, julgue os itens que se seguem.
O sistema (I) pode ser escrito na forma matricial como A × X = B, em que
, e B = Y × M é o produto das matrizes
.
Provas
Na revista da Associação Brasileira das Empresas de Transporte Rodoviário Intermunicipal, Interestadual e Internacional de Passageiros (ABRATI), de março de 2002, foi publicada a tabela abaixo, que traz o número de mortes ocorridas na Rodovia Presidente Dutra, que liga a cidade do Rio de Janeiro à capital paulista, entre os anos de 1997 e 2000.

De acordo com um conhecido método da Matemática, denominado Método dos Quadrados Mínimos (MQM), esses valores podem ser ajustados (modelados) por uma função linear da forma f(t) = at + b. O ajuste da função, com os dados fornecidos na tabela, está esboçado no gráfico a seguir.

Para se conhecer os números reais a e b que definirão a função linear f(t) será necessário resolver o seguinte sistema de equações lineares, segundo o MQM:

Com base nessas informações, julgue os itens que se seguem.
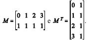
A matriz dos coeficientes do sistema (I) é obtida pelo produto
, das matrizes
.
Provas
Na revista da Associação Brasileira das Empresas de Transporte Rodoviário Intermunicipal, Interestadual e Internacional de Passageiros (ABRATI), de março de 2002, foi publicada a tabela abaixo, que traz o número de mortes ocorridas na Rodovia Presidente Dutra, que liga a cidade do Rio de Janeiro à capital paulista, entre os anos de 1997 e 2000.

De acordo com um conhecido método da Matemática, denominado Método dos Quadrados Mínimos (MQM), esses valores podem ser ajustados (modelados) por uma função linear da forma f(t) = at + b. O ajuste da função, com os dados fornecidos na tabela, está esboçado no gráfico a seguir.

Para se conhecer os números reais a e b que definirão a função linear f(t) será necessário resolver o seguinte sistema de equações lineares, segundo o MQM:

Com base nessas informações, julgue os itens que se seguem.
De acordo com a tabela e com a modelagem sugerida no gráfico, o valor t = 3 corresponde ao ano 2000.
Provas
Em 2001, no relatório de pesquisa rodoviária publicado pela Confederação Nacional de Transportes, foi divulgada a tabela ao lado, que mostra as condições de conservação de 45.294 quilômetros de estradas brasileiras. Com base nesses dados, julgue os itens seguintes.

Da extensão total de estradas avaliadas, menos de
estão em condições deficientes.
Provas
Em 2001, no relatório de pesquisa rodoviária publicado pela Confederação Nacional de Transportes, foi divulgada a tabela ao lado, que mostra as condições de conservação de 45.294 quilômetros de estradas brasileiras. Com base nesses dados, julgue os itens seguintes.

A probabilidade de um viajante que transita nessas estradas passar por pelo menos 1 km de estrada em condições ótimas e boas é maior que 30%.
Provas
Caderno Container