Foram encontradas 2.827 questões.

A maioria dos automóveis utiliza um motor de combustão interna a gasolina/álcool. Na câmara de combustão do motor, uma mistura de vapor de gasolina/álcool e ar é comprimida e inflamada por uma centelha produzida pela vela. Os gases produzidos se expandem, realizando trabalho, e, em seguida, são eliminados pelo escapamento, completando um ciclo, que se repete. A figura acima representa o diagrama do modelo que descreve o comportamento da pressão em função do volume dentro da câmara de combustão conhecido como ciclo de Otto. Ele é constituído de quatro transformações, duas adiabáticas e duas isométricas, alternadas. Nessas condições, os motores são classificados como de quatro tempos:
< a mistura de vapor de gasolina/álcool e ar entra em A (admissão) e é comprimida adiabaticamente (compressão) até B;
< de B para C (ignição), o volume permanece constante e a mistura é aquecida. A pressão e a temperatura aumentam devido à centelha elétrica produzida pela vela, iniciando a ignição da mistura;
< em seguida, de C para D (expansão), os gases expandem-se adiabaticamente, realizando trabalho-motor;
< finalmente, de D para A (descarga), tem-se um resfriamento isométrico, completando um ciclo.
No ciclo, V1 e V2 são, respectivamente, os volumes mínimo e máximo da mistura no cilindro. A razãoV2/V1 é chamada taxa de compressão que é da ordem de 8 para motores modernos de combustão interna.
Considerando as informações acima apresentadas, julgue o item a seguir.
As transformações BC e DA são realizadas a volume constante.
Provas
Questão presente nas seguintes provas

O nível de água de um poço está abaixo de 15,0 m da superfície, como mostra a figura acima. Inserindo um tubo no poço, liga-se uma bomba até evacuar todo o ar do tubo. Com relação a essa situação, julgue o item abaixo.
Pode-se afirmar que, nessas condições, a água atingirá a superfície, isto é, a coluna de água no tubo será igual a 15,0 m.
Provas
Questão presente nas seguintes provas

Para pequenas variações de temperatura, )T, a dilatação linear, analisada ao longo das direções x e y, em um sólido de dimensões iniciais xo e yo, é determinada pelas expressões: x()T) = xo(1+")T) e y()T) = yo(1+")T), em que " é uma constante que depende do material. A figura acima mostra uma régua e a dilatação sofrida por ela após ser submetida a uma variação da temperatura nas situações I e II, respectivamente.
Com base nas informações acima, julgue o seguinte item.
Se a régua fosse feita de um material não-homogêneo, com dois coeficientes de dilatação linear "1x e "2y diferentes nas direções x e y, respectivamente, pode-se afirmar que, após a dilatação térmica, a área do buraco manteria a forma circular.
Provas
Questão presente nas seguintes provas
No processo de controle de qualidade dos combustíveis, um dos procedimentos utilizados baseia-se na determinação das suas densidades. A figura a seguir mostra a densidade do etanol puro em função da temperatura.

Com base nas informações acima, julgue o item subseqüente.
Considerando g = 9,8 m/s2 e com base na figura acima, o empuxo em um densímetro submerso 10,0 cm3 no etanol puro a 20 ºC é maior que 500 N
Provas
Questão presente nas seguintes provas

A figura acima ilustra frentes de ondas emitidas por uma fonte sonora em diferentes situações e um observador em repouso. A fonte, em todos os casos, emite ondas com freqüência fixa. Desconsiderando a velocidade do meio de propagação e considerando que este meio é homogêneo com densidade constante, julgue o item a seguir.
Os fenômenos ilustrados nas situações (c) e (d) ocorrem quando a velocidade da fonte é igual ou maior que a velocidade do som no meio, respectivamente. Nesse caso, as freqüências ouvidas pelo observador podem ser calculadas pelo efeito Doppler.
Provas
Questão presente nas seguintes provas
Sistemas de unidades e conversões
A Física é fundamentada em medidas de quantidades, como comprimento, tempo, freqüência, velocidade, massa, densidade, carga, temperatura e energia. Muitas dessas grandezas estão interligadas. Por exemplo, velocidade é a distância dividida pelo tempo. Em geral, para se descrever uma quantidade física, primeiro se define uma unidade. Em seguida, define-se um padrão, isto é, a referência com a qual outros exemplos da quantidade física serão comparados. Cada indivíduo pode definir o seu sistema de unidades, com seus respectivos padrões. O importante é fazer isso de tal modo que cientistas em qualquer parte do universo concordem que as novas definições sejam práticas, precisas e invariantes de uma pessoa para outra. Por exemplo, o pé dos seres humanos como medida de comprimento não seria uma medida precisa, pois o tamanho de um pé varia de pessoa para pessoa. Para regulamentar questões relativas a medidas de quantidades físicas, na 14.ª Conferência Internacional de Pesos e Medidas, em 1971, foi introduzido o Sistema de Unidades Internacionais (SI), popularmente conhecido como sistema métrico. Nesse sistema de unidade, o padrão para a unidade de massa é o kg, que, de acordo com o SI, equivale a um cilindro de platina-irídio, cuja peça-padrão de 1,0 kg está guardada na Agência Internacional de Pesos e Medidas, em Paris.
Considerando as informações apresentadas no texto acima, julgue o item subseqüente.
No SI, a unidade-padrão para a medida de massa é o grama, cujo símbolo é g.
Provas
Questão presente nas seguintes provas
Sistemas de unidades e conversões
A Física é fundamentada em medidas de quantidades, como comprimento, tempo, freqüência, velocidade, massa, densidade, carga, temperatura e energia. Muitas dessas grandezas estão interligadas. Por exemplo, velocidade é a distância dividida pelo tempo. Em geral, para se descrever uma quantidade física, primeiro se define uma unidade. Em seguida, define-se um padrão, isto é, a referência com a qual outros exemplos da quantidade física serão comparados. Cada indivíduo pode definir o seu sistema de unidades, com seus respectivos padrões. O importante é fazer isso de tal modo que cientistas em qualquer parte do universo concordem que as novas definições sejam práticas, precisas e invariantes de uma pessoa para outra. Por exemplo, o pé dos seres humanos como medida de comprimento não seria uma medida precisa, pois o tamanho de um pé varia de pessoa para pessoa. Para regulamentar questões relativas a medidas de quantidades físicas, na 14.ª Conferência Internacional de Pesos e Medidas, em 1971, foi introduzido o Sistema de Unidades Internacionais (SI), popularmente conhecido como sistema métrico. Nesse sistema de unidade, o padrão para a unidade de massa é o kg, que, de acordo com o SI, equivale a um cilindro de platina-irídio, cuja peça-padrão de 1,0 kg está guardada na Agência Internacional de Pesos e Medidas, em Paris.
Considerando as informações apresentadas no texto acima, julgue o item subseqüente.
Se um homem adulto, dormindo, consome 6 joules a cada segundo, nesse caso, é correto afirmar que esse homem gasta o equivalente a uma lâmpada de 60 W em condições normais.
Provas
Questão presente nas seguintes provas

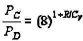
A maioria dos automóveis utiliza um motor de combustão interna a gasolina/álcool. Na câmara de combustão do motor, uma mistura de vapor de gasolina/álcool e ar é comprimida e inflamada por uma centelha produzida pela vela. Os gases produzidos se expandem, realizando trabalho, e, em seguida, são eliminados pelo escapamento, completando um ciclo, que se repete. A figura acima representa o diagrama do modelo que descreve o comportamento da pressão em função do volume dentro da câmara de combustão conhecido como ciclo de Otto. Ele é constituído de quatro transformações, duas adiabáticas e duas isométricas, alternadas. Nessas condições, os motores são classificados como de quatro tempos:
< a mistura de vapor de gasolina/álcool e ar entra em A (admissão) e é comprimida adiabaticamente (compressão) até B;
< de B para C (ignição), o volume permanece constante e a mistura é aquecida. A pressão e a temperatura aumentam devido à centelha elétrica produzida pela vela, iniciando a ignição da mistura;
< em seguida, de C para D (expansão), os gases expandem-se adiabaticamente, realizando trabalho-motor;
< finalmente, de D para A (descarga), tem-se um resfriamento isométrico, completando um ciclo.
No ciclo, V1 e V2 são, respectivamente, os volumes mínimo e máximo da mistura no cilindro. A razãoV2/V1 é chamada taxa de compressão que é da ordem de 8 para motores modernos de combustão interna.
Considerando as informações acima apresentadas, julgue o item a seguir.
Considerando o combustível utilizado no ciclo de Otto, mostrado no texto acima, um gás ideal com taxa de compressão igual a 8, como descrito, pode-se dizer que a razão PC/PD entre as pressões nos pontos C e D é dada pela relação
, em que R é a constante dos gases ideais e CV é o calor específico do gás a volume constante.
, em que R é a constante dos gases ideais e CV é o calor específico do gás a volume constante.Provas
Questão presente nas seguintes provas
No processo de controle de qualidade de combustíveis, um dos procedimentos utilizados baseia-se na determinação das suas densidades. O gráfico mostrado na figura I abaixo representa a densidade do etanol puro, em função da temperatura, e o gráfico mostrado na figura II abaixo representa o comportamento da densidade relativa da mistura álcool/água como função da concentração, para uma determinada temperatura.

Com base nas informações acima apresentadas, julgue o item que se segue.
Considerando g = 9,8 m/s2, infere-se, com base no gráfico da figura I, que o empuxo em um densímetro submerso 10,0 cm3 no etanol puro a 20 ºC é superior a 500 N.
Provas
Questão presente nas seguintes provas
As leis de Newton apontam diretamente para dois princípios de conservação: a conservação de energia e a conservação do momento linear. A mecânica newtoniana conduz a um terceiro princípio de conservação, a conservação do momento angular.
Com relação a esses princípios e aos conceitos correlatos, julgue o item a seguir.
O momento angular (!$ \vec{L} !$) de um corpo em rotação é uma constante de movimento sempre que a derivada de L em relação ao tempo for igual a zero. Isso equivale a dizer que a soma dos torques atuando sobre o corpo é nula.
Provas
Questão presente nas seguintes provas
Cadernos
Caderno Container