Magna Concursos

Foram encontradas 120 questões.

1344834 Ano: 2008
Disciplina: Matemática
Banca: CESPE / CEBRASPE
Orgão: Petrobrás

Considere que tenham sido recolhidas para análise amostras de óleo de quatro campos petrolíferos da bacia de Campos, na seguinte proporção: 5 amostras do campo de Albacora, 10 do campo de Marlim, 7 do campo de Espadarte e 8 amostras do campo de Barracuda. Considere, também, que, durante o procedimento de análise, as amostras tenham sido selecionadas de maneira aleatória, entre as 30 amostras anteriormente mencionadas. Com base nessas informações, julgue os itens subseqüentes.

A probabilidade de duas amostras selecionadas ao acaso, e independentemente da ordem da escolha, serem provenientes do campo de Marlim é superior a 0,1.

 

Provas

Questão presente nas seguintes provas
1341703 Ano: 2008
Disciplina: Matemática
Banca: CESPE / CEBRASPE
Orgão: Petrobrás

Considere que tenham sido recolhidas para análise amostras de óleo de quatro campos petrolíferos da bacia de Campos, na seguinte proporção: 5 amostras do campo de Albacora, 10 do campo de Marlim, 7 do campo de Espadarte e 8 amostras do campo de Barracuda. Considere, também, que, durante o procedimento de análise, as amostras tenham sido selecionadas de maneira aleatória, entre as 30 amostras anteriormente mencionadas. Com base nessas informações, julgue os itens subseqüentes.

A chance de uma amostra selecionada ao acaso ser proveniente do campo de Espadarte ou do campo de Albacora é inferior a 37%.

 

Provas

Questão presente nas seguintes provas
1341702 Ano: 2008
Disciplina: Matemática
Banca: CESPE / CEBRASPE
Orgão: Petrobrás

Considere que tenham sido recolhidas para análise amostras de óleo de quatro campos petrolíferos da bacia de Campos, na seguinte proporção: 5 amostras do campo de Albacora, 10 do campo de Marlim, 7 do campo de Espadarte e 8 amostras do campo de Barracuda. Considere, também, que, durante o procedimento de análise, as amostras tenham sido selecionadas de maneira aleatória, entre as 30 amostras anteriormente mencionadas. Com base nessas informações, julgue os itens subseqüentes.

A probabilidade de uma amostra selecionada ao acaso não ser proveniente do campo de Barracuda é superior a 3/4.

 

Provas

Questão presente nas seguintes provas
1341701 Ano: 2008
Disciplina: Matemática
Banca: CESPE / CEBRASPE
Orgão: Petrobrás

Considere que tenham sido recolhidas para análise amostras de óleo de quatro campos petrolíferos da bacia de Campos, na seguinte proporção: 5 amostras do campo de Albacora, 10 do campo de Marlim, 7 do campo de Espadarte e 8 amostras do campo de Barracuda. Considere, também, que, durante o procedimento de análise, as amostras tenham sido selecionadas de maneira aleatória, entre as 30 amostras anteriormente mencionadas. Com base nessas informações, julgue os itens subseqüentes.

A probabilidade de uma amostra selecionada ao acaso ser proveniente do campo de Marlim é inferior a 0,35.

 

Provas

Questão presente nas seguintes provas
1341700 Ano: 2008
Disciplina: Matemática
Banca: CESPE / CEBRASPE
Orgão: Petrobrás

Uma preocupação de todos os governantes é a busca por fontes alternativas de energia que possam diminuir a dependência mundial do petróleo. Suponha que o consumo de petróleo por todo o planeta, em milhões de barris diários, possa ser estimado pela equação Enunciado 1341700-1 , em que t = 0 corresponde ao ano de 2004, t = 1, ao ano de 2005, e assim sucessivamente. Com base nessa estimativa, julgue os itens a seguir.

No ano de 2070, o consumo mundial de petróleo retornará a um nível de consumo igual ao de 2004.

 

Provas

Questão presente nas seguintes provas
1341663 Ano: 2008
Disciplina: Matemática
Banca: CESPE / CEBRASPE
Orgão: Petrobrás

Uma preocupação de todos os governantes é a busca por fontes alternativas de energia que possam diminuir a dependência mundial do petróleo. Suponha que o consumo de petróleo por todo o planeta, em milhões de barris diários, possa ser estimado pela equação Enunciado 1341663-1 , em que t = 0 corresponde ao ano de 2004, t = 1, ao ano de 2005, e assim sucessivamente. Com base nessa estimativa, julgue os itens a seguir.

O consumo mundial de petróleo atingirá seu pico máximo antes do ano de 2035.

 

Provas

Questão presente nas seguintes provas
1341662 Ano: 2008
Disciplina: Matemática
Banca: CESPE / CEBRASPE
Orgão: Petrobrás

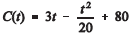
Uma preocupação de todos os governantes é a busca por fontes alternativas de energia que possam diminuir a dependência mundial do petróleo. Suponha que o consumo de petróleo por todo o planeta, em milhões de barris diários, possa ser estimado pela equação Enunciado 1341662-1 , em que t = 0 corresponde ao ano de 2004, t = 1, ao ano de 2005, e assim sucessivamente. Com base nessa estimativa, julgue os itens a seguir.

Em 2009, o consumo mundial de petróleo será superior a 93 milhões de barris diários.

 

Provas

Questão presente nas seguintes provas
1332117 Ano: 2008
Disciplina: Matemática
Banca: CESPE / CEBRASPE
Orgão: Petrobrás

A bacia de Campos tem cerca de 100 mil quilômetros quadrados e se estende do estado do Espírito Santo, nas imediações da cidade de Vitória, até Arraial do Cabo, no litoral norte do estado do Rio de Janeiro. Atualmente, essa bacia é responsável por, aproximadamente, 84% da produção nacional de petróleo. Considere que a produção estimada de petróleo (em milhões de barris por dia) da bacia de Campos, P c , em determinado ano T, seja dada pela equação 10 × P c = T + 15, em que T = 0 equivale ao ano de 2007, T = 1, ao ano de 2008, e assim sucessivamente. Com base nessas informações, julgue os itens seguintes.

Se a proporção de 84% referente à produção de petróleo pela bacia de Campos em relação à produção nacional se mantiver ao longo dos próximos anos, então a produção estimada, Enunciado 1332117-1 , de petróleo brasileira (em milhões de barris por dia), em determinado ano T, será dada pela equação Enunciado 1332117-2 , em que T = 0 corresponde ao ano de 2007, T = 1, ao ano de 2008, e assim por diante.

 

Provas

Questão presente nas seguintes provas
1332116 Ano: 2008
Disciplina: Matemática
Banca: CESPE / CEBRASPE
Orgão: Petrobrás

A bacia de Campos tem cerca de 100 mil quilômetros quadrados e se estende do estado do Espírito Santo, nas imediações da cidade de Vitória, até Arraial do Cabo, no litoral norte do estado do Rio de Janeiro. Atualmente, essa bacia é responsável por, aproximadamente, 84% da produção nacional de petróleo. Considere que a produção estimada de petróleo (em milhões de barris por dia) da bacia de Campos, P c , em determinado ano T, seja dada pela equação 10 × P c = T + 15, em que T = 0 equivale ao ano de 2007, T = 1, ao ano de 2008, e assim sucessivamente. Com base nessas informações, julgue os itens seguintes.

A produção estimada de petróleo da bacia de Campos para 2010 é superior a 1,9 milhão de barris de petróleo por dia.

 

Provas

Questão presente nas seguintes provas
1332095 Ano: 2008
Disciplina: Matemática
Banca: CESPE / CEBRASPE
Orgão: Petrobrás

A bacia de Campos tem cerca de 100 mil quilômetros quadrados e se estende do estado do Espírito Santo, nas imediações da cidade de Vitória, até Arraial do Cabo, no litoral norte do estado do Rio de Janeiro. Atualmente, essa bacia é responsável por, aproximadamente, 84% da produção nacional de petróleo. Considere que a produção estimada de petróleo (em milhões de barris por dia) da bacia de Campos, P c , em determinado ano T, seja dada pela equação 10 × P c = T + 15, em que T = 0 equivale ao ano de 2007, T = 1, ao ano de 2008, e assim sucessivamente. Com base nessas informações, julgue os itens seguintes.

Em 2007, a produção diária estimada de petróleo da bacia de Campos foi de 1,5 milhão de barris.

 

Provas

Questão presente nas seguintes provas