Foram encontradas 120 questões.
- Química InorgânicaSoluções e Substâncias InorgânicasPropriedades Coligativas: Tonoscopia, Ebulioscopia, Crioscopia e Pressão Osmótica.

Acerca do assunto tratado no texto acima, julgue os itens de 114 a 120.
Sabendo que, em unidades hospitalares, é comum a utilização de uma mistura eqüimolar gasosa de oxigênio e óxido nitroso como anestésico de inalação, e considerando que esses gases se comportem idealmente, então, se, à temperatura ambiente, um certo volume fixo dessa mistura apresentar pressão total igual a 0,01 atm, a pressão parcial do oxigênio nesse volume será, de acordo com a Lei de Dalton das Pressões Parciais, de 0,005 atm, e a do óxido nitroso, de 0,005 atm.
Provas

Acerca do assunto tratado no texto acima, julgue os itens de 114 a 120.
O resfriamento do N2O ao se expandir através da válvula de tanques contendo esse gás sob pressão — considerando que esse processo ocorre sob condições adiabáticas — é decorrência do efeito Joule-Thomson.
Provas

Acerca do assunto tratado no texto acima, julgue os itens de 114 a 120.
De acordo com o princípio de Le Châtelier, havendo redução de temperatura, o valor da constante de equilíbrio KP da decomposição do óxido nitroso diminui.
Provas

Acerca do assunto tratado no texto acima, julgue os itens de 114 a 120.
De acordo com a Segunda Lei da Termodinâmica, é positiva a variação de entropia da decomposição térmica do óxido nitroso em oxigênio e nitrogênio, sob temperatura e pressão constantes.
Provas

Acerca do assunto tratado no texto acima, julgue os itens de 114 a 120.
A decomposição do nitrato de amônio não se processa em temperatura ambiente porque, abaixo de 250 ºC, a energia de ativação dessa reação não é atingida.
Provas

Acerca do assunto tratado no texto acima, julgue os itens de 114 a 120.

Provas

Considerando as estruturas acima, julgue os itens seguintes.

Provas

Considerando as estruturas acima, julgue os itens seguintes.
Com base nas estruturas do naftaleno e do azuleno, mostradas abaixo, é correto afirmar que a molécula de naproanilida contém um anel naftalênico e que o naftaleno e o azuleno são exemplos de compostos aromáticos não-benzenóides, uma vez que há separação substancial das cargas entre os anéis.

Provas

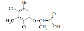
Considerando as estruturas acima, julgue os itens seguintes.
A reação de bromação aromática do DMPA fornece, como produto principal, o composto abaixo.

Provas

Considerando as estruturas acima apresentadas, julgue os itens que se seguem.
Considere um processo de obtenção da morfina, do qual uma das etapas é mostrada abaixo. Nessa etapa, o álcool alílico I sofre um rearranjo de Hoffman para produzir a amida II.

Provas
Caderno Container