Foram encontradas 1.035 questões.
1047336
Ano: 2013
Disciplina: TI - Desenvolvimento de Sistemas
Banca: CESPE / CEBRASPE
Orgão: PF
Disciplina: TI - Desenvolvimento de Sistemas
Banca: CESPE / CEBRASPE
Orgão: PF
Provas:
- Fundamentos de ProgramaçãoAlgoritmosAlgoritmos de Ordenação
- Fundamentos de ProgramaçãoEstruturas de DadosEstrutura de Dados: Vetor
Acerca dos conceitos e características de estrutura de dados e autômatos, julgue o item a seguir.
Considere um vetor C com valores entre 0 e 999, em que cada elemento do vetor é dividido em três partes (unidade, dezena e centena). Nesse caso, o método de classificação por distribuição de chave, aplicado sobre C, realizará a ordenação dos valores pela execução de sucessivos passos, tomando-se em cada passo apenas uma parte do elemento.
Provas
Questão presente nas seguintes provas
1047328
Ano: 2013
Disciplina: TI - Desenvolvimento de Sistemas
Banca: CESPE / CEBRASPE
Orgão: PF
Disciplina: TI - Desenvolvimento de Sistemas
Banca: CESPE / CEBRASPE
Orgão: PF
Provas:
No que se refere às linguagens de programação, julgue o item subsecutivo.
A propriedade readyState do objeto XMLHttpRequest em Ajax no Internet Explorer possui 3 estágios, sendo 0 correspondente a não inicializado, 1 correspondente a carregado e 2 correspondente a completo.
Provas
Questão presente nas seguintes provas
1047326
Ano: 2013
Disciplina: TI - Desenvolvimento de Sistemas
Banca: CESPE / CEBRASPE
Orgão: PF
Disciplina: TI - Desenvolvimento de Sistemas
Banca: CESPE / CEBRASPE
Orgão: PF
Provas:
Acerca dos conceitos da engenharia reversa, julgue o item subsecutivo.
A depuração de programas utiliza métodos de teste e análise para tentar entender o software. Esses métodos são classificados como caixa-branca (white box) e caixa-preta (black box). Para se conhecer o código e seu comportamento, o teste caixa-branca é menos eficiente que o teste caixa-preta, embora seja mais fácil de ser implementado.
Provas
Questão presente nas seguintes provas
1047325
Ano: 2013
Disciplina: TI - Desenvolvimento de Sistemas
Banca: CESPE / CEBRASPE
Orgão: PF
Disciplina: TI - Desenvolvimento de Sistemas
Banca: CESPE / CEBRASPE
Orgão: PF
Provas:
- Manutenção e Evolução de SoftwareEngenharia Reversa
- Segurança de SoftwareIdentificação de Vulnerabilidades e Condições de Erro
Acerca dos conceitos da engenharia reversa, julgue o item subsecutivo.
Red pointing é o método mais rápido para se realizar engenharia reversa em um código. Para criar um red pointing em um código alvo, é suficiente identificar no programa os locais potencialmente vulneráveis, que fazem chamada ao sistema operacional, e detectar os dados fornecidos pelo usuário, que são processados nesse local.
Provas
Questão presente nas seguintes provas
1047324
Ano: 2013
Disciplina: TI - Desenvolvimento de Sistemas
Banca: CESPE / CEBRASPE
Orgão: PF
Disciplina: TI - Desenvolvimento de Sistemas
Banca: CESPE / CEBRASPE
Orgão: PF
Provas:
Acerca dos conceitos da engenharia reversa, julgue o item subsecutivo.
A engenharia reversa permite conhecer a estrutura do programa e sua lógica e, com base nessas informações, alterar a estrutura do programa, afetando diretamente o fluxo lógico. Essa atividade é conhecida como patching.
Provas
Questão presente nas seguintes provas
1047323
Ano: 2013
Disciplina: TI - Desenvolvimento de Sistemas
Banca: CESPE / CEBRASPE
Orgão: PF
Disciplina: TI - Desenvolvimento de Sistemas
Banca: CESPE / CEBRASPE
Orgão: PF
Provas:
No que se refere às linguagens de programação, julgue o item subsecutivo.
Coesão e acoplamento são dois critérios úteis para se analisar a qualidade da interface pública de uma classe. A interface pública será considerada coesa se todos os seus recursos estiverem relacionados ao conceito que a classe representa, enquanto, no acoplamento, uma classe é dependente de outra.
Provas
Questão presente nas seguintes provas
1047322
Ano: 2013
Disciplina: TI - Desenvolvimento de Sistemas
Banca: CESPE / CEBRASPE
Orgão: PF
Disciplina: TI - Desenvolvimento de Sistemas
Banca: CESPE / CEBRASPE
Orgão: PF
Provas:
- Fundamentos de ProgramaçãoFunções, Métodos e Procedimentos
- Fundamentos de ProgramaçãoRecursividade
- LinguagensJava
No que se refere às linguagens de programação, julgue o item subsecutivo.
A execução da função x descrita abaixo para o valor n igual a 8 fornecerá 21 como resultado.
long x(int n){
if (n<0) return -1;
if (n==0) return 0;
if (n==1) return 1;
return x(n-1) + x(n-2);
}
if (n<0) return -1;
if (n==0) return 0;
if (n==1) return 1;
return x(n-1) + x(n-2);
}
Provas
Questão presente nas seguintes provas
1047321
Ano: 2013
Disciplina: TI - Desenvolvimento de Sistemas
Banca: CESPE / CEBRASPE
Orgão: PF
Disciplina: TI - Desenvolvimento de Sistemas
Banca: CESPE / CEBRASPE
Orgão: PF
Provas:
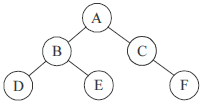
Acerca dos conceitos e características de estrutura de dados e autômatos, julgue o item a seguir.
Na árvore binária representada abaixo, o caminhamento pós-fixado produzirá a seguinte sequência de nós visitados: D, B, E, A, C, F.

Provas
Questão presente nas seguintes provas
1047318
Ano: 2013
Disciplina: TI - Desenvolvimento de Sistemas
Banca: CESPE / CEBRASPE
Orgão: PF
Disciplina: TI - Desenvolvimento de Sistemas
Banca: CESPE / CEBRASPE
Orgão: PF
Provas:
Acerca dos conceitos e características de estrutura de dados e autômatos, julgue o item a seguir.
Autômatos finitos são usualmente apresentados na forma de um grafo dirigido. A figura abaixo representa uma transição que pode ocorrer se o autômato estiver em um estado Si e se o símbolo da string de entrada for a. Caso a entrada para o autômato seja a string prova, é correto afirmar que ocorrerá a transição de Si para Sf.

Provas
Questão presente nas seguintes provas
1047317
Ano: 2013
Disciplina: TI - Desenvolvimento de Sistemas
Banca: CESPE / CEBRASPE
Orgão: PF
Disciplina: TI - Desenvolvimento de Sistemas
Banca: CESPE / CEBRASPE
Orgão: PF
Provas:
No que se refere às linguagens de programação, julgue o item subsecutivo.
O diagrama de blocos apresentado abaixo se refere à instrução
faça <conjunto de instruções> enquanto
<condição>.
<condição>.

Provas
Questão presente nas seguintes provas
Cadernos
Caderno Container