Foram encontradas 120 questões.

Abbas et al. Cellular and Molecular Immunology. 6.ª ed. (com adaptações).
Considerando a figura precedente, que representa a diferenciação de linfócito T naive em linfócitos T efetores, julgue o item que se segue.

Abbas et al. Cellular and Molecular Immunology. 6.ª ed. (com adaptações).
Considerando a figura precedente, que representa a diferenciação de linfócito T naive em linfócitos T efetores, julgue o item que se segue.
Nessa figura, o microrganismo patogênico C pode representar uma bactéria extracelular ou um fungo.
Provas
Questão presente nas seguintes provas
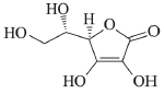
Vitamina C (ou ácido ascórbico), antitérmicos e soro fisiológico são produtos químicos utilizados como medicamentos de uso cotidiano. O ácido ascórbico é empregado na conservação de alimentos e também no combate ao escorbuto. Sua estrutura molecular é apresentada na seguinte figura.

Alguns medicamentos analgésicos que também são antitérmicos têm como princípios ativos o ácido acetilsalicílico e a cafeína. Apesar de esses dois princípios ativos apresentarem bandas sobrepostas nos espectros de emissão e excitação, sua análise quantitativa em fármacos é viável por meio da regressão de mínimos quadrados parciais (PLS – Partial Least Squares). Comparado ao método quantitativo, em que os compostos são separados e pesados individualmente para a determinação do teor de cada um na amostra, o método PLS oferece economia de tempo, reagentes e recursos financeiros.
O soro fisiológico, por sua vez, é uma solução isotônica em relação aos líquidos corporais humanos, na qual o NaCR está dissolvido em água.
Considerando as informações apresentadas, julgue o item seguinte.
Na preparação do soro fisiológico, a interação eletrostática do ânion com seu contra-íon no sólido cristalino não é superada pela interação desses íons individualmente com as moléculas do solvente.
Provas
Questão presente nas seguintes provas
Vitamina C (ou ácido ascórbico), antitérmicos e soro fisiológico são produtos químicos utilizados como medicamentos de uso cotidiano. O ácido ascórbico é empregado na conservação de alimentos e também no combate ao escorbuto. Sua estrutura molecular é apresentada na seguinte figura.

Alguns medicamentos analgésicos que também são antitérmicos têm como princípios ativos o ácido acetilsalicílico e a cafeína. Apesar de esses dois princípios ativos apresentarem bandas sobrepostas nos espectros de emissão e excitação, sua análise quantitativa em fármacos é viável por meio da regressão de mínimos quadrados parciais (PLS – Partial Least Squares). Comparado ao método quantitativo, em que os compostos são separados e pesados individualmente para a determinação do teor de cada um na amostra, o método PLS oferece economia de tempo, reagentes e recursos financeiros.
O soro fisiológico, por sua vez, é uma solução isotônica em relação aos líquidos corporais humanos, na qual o NaCR está dissolvido em água.
Considerando as informações apresentadas, julgue o item seguinte.
O vapor de água no interior de um frasco fechado contendo soro fisiológico exerce sobre o soro e sobre as paredes do recipiente a mesma pressão.
Provas
Questão presente nas seguintes provas
Vitamina C (ou ácido ascórbico), antitérmicos e soro fisiológico são produtos químicos utilizados como medicamentos de uso cotidiano. O ácido ascórbico é empregado na conservação de alimentos e também no combate ao escorbuto. Sua estrutura molecular é apresentada na seguinte figura.

Alguns medicamentos analgésicos que também são antitérmicos têm como princípios ativos o ácido acetilsalicílico e a cafeína. Apesar de esses dois princípios ativos apresentarem bandas sobrepostas nos espectros de emissão e excitação, sua análise quantitativa em fármacos é viável por meio da regressão de mínimos quadrados parciais (PLS – Partial Least Squares). Comparado ao método quantitativo, em que os compostos são separados e pesados individualmente para a determinação do teor de cada um na amostra, o método PLS oferece economia de tempo, reagentes e recursos financeiros.
O soro fisiológico, por sua vez, é uma solução isotônica em relação aos líquidos corporais humanos, na qual o NaCl está dissolvido em água.
Considerando as informações apresentadas, julgue o item seguinte.
Se for aplicada uma adequada diferença de potencial no soro fisiológico, haverá formação de Cl2 no cátodo.
Provas
Questão presente nas seguintes provas
Vitamina C (ou ácido ascórbico), antitérmicos e soro fisiológico são produtos químicos utilizados como medicamentos de uso cotidiano. O ácido ascórbico é empregado na conservação de alimentos e também no combate ao escorbuto. Sua estrutura molecular é apresentada na seguinte figura.

Alguns medicamentos analgésicos que também são antitérmicos têm como princípios ativos o ácido acetilsalicílico e a cafeína. Apesar de esses dois princípios ativos apresentarem bandas sobrepostas nos espectros de emissão e excitação, sua análise quantitativa em fármacos é viável por meio da regressão de mínimos quadrados parciais (PLS – Partial Least Squares). Comparado ao método quantitativo, em que os compostos são separados e pesados individualmente para a determinação do teor de cada um na amostra, o método PLS oferece economia de tempo, reagentes e recursos financeiros.
O soro fisiológico, por sua vez, é uma solução isotônica em relação aos líquidos corporais humanos, na qual o NaCR está dissolvido em água.
Considerando as informações apresentadas, julgue o item seguinte.
O ânion presente no soro fisiológico é menor que o seu átomo correspondente neutro.
Provas
Questão presente nas seguintes provas
Vitamina C (ou ácido ascórbico), antitérmicos e soro fisiológico são produtos químicos utilizados como medicamentos de uso cotidiano. O ácido ascórbico é empregado na conservação de alimentos e também no combate ao escorbuto. Sua estrutura molecular é apresentada na seguinte figura.

Alguns medicamentos analgésicos que também são antitérmicos têm como princípios ativos o ácido acetilsalicílico e a cafeína. Apesar de esses dois princípios ativos apresentarem bandas sobrepostas nos espectros de emissão e excitação, sua análise quantitativa em fármacos é viável por meio da regressão de mínimos quadrados parciais (PLS – Partial Least Squares). Comparado ao método quantitativo, em que os compostos são separados e pesados individualmente para a determinação do teor de cada um na amostra, o método PLS oferece economia de tempo, reagentes e recursos financeiros.
O soro fisiológico, por sua vez, é uma solução isotônica em relação aos líquidos corporais humanos, na qual o NaCR está dissolvido em água.
Considerando as informações apresentadas, julgue o item seguinte.
Situação hipotética: Foi feito um ajuste linear entre a concentração de ácido acetilsalicílico e o valor máximo da intensidade do sinal do seu espectro de emissão. O coeficiente de correlação obtido foi 0,98. Assertiva: Nessa situação, a relação entre a concentração e o espectro de emissão do ácido acetilsalicílico não é linear, pois o coeficiente de correlação é menor que um.
Provas
Questão presente nas seguintes provas
Vitamina C (ou ácido ascórbico), antitérmicos e soro fisiológico são produtos químicos utilizados como medicamentos de uso cotidiano. O ácido ascórbico é empregado na conservação de alimentos e também no combate ao escorbuto. Sua estrutura molecular é apresentada na seguinte figura.

Alguns medicamentos analgésicos que também são antitérmicos têm como princípios ativos o ácido acetilsalicílico e a cafeína. Apesar de esses dois princípios ativos apresentarem bandas sobrepostas nos espectros de emissão e excitação, sua análise quantitativa em fármacos é viável por meio da regressão de mínimos quadrados parciais (PLS – Partial Least Squares). Comparado ao método quantitativo, em que os compostos são separados e pesados individualmente para a determinação do teor de cada um na amostra, o método PLS oferece economia de tempo, reagentes e recursos financeiros.
O soro fisiológico, por sua vez, é uma solução isotônica em relação aos líquidos corporais humanos, na qual o NaCR está dissolvido em água.
Considerando as informações apresentadas, julgue o item seguinte.
No texto, o método PLS é comparado a uma análise gravimétrica.
Provas
Questão presente nas seguintes provas
Vitamina C (ou ácido ascórbico), antitérmicos e soro fisiológico são produtos químicos utilizados como medicamentos de uso cotidiano. O ácido ascórbico é empregado na conservação de alimentos e também no combate ao escorbuto. Sua estrutura molecular é apresentada na seguinte figura.

Alguns medicamentos analgésicos que também são antitérmicos têm como princípios ativos o ácido acetilsalicílico e a cafeína. Apesar de esses dois princípios ativos apresentarem bandas sobrepostas nos espectros de emissão e excitação, sua análise quantitativa em fármacos é viável por meio da regressão de mínimos quadrados parciais (PLS – Partial Least Squares). Comparado ao método quantitativo, em que os compostos são separados e pesados individualmente para a determinação do teor de cada um na amostra, o método PLS oferece economia de tempo, reagentes e recursos financeiros.
O soro fisiológico, por sua vez, é uma solução isotônica em relação aos líquidos corporais humanos, na qual o NaCR está dissolvido em água.
Considerando as informações apresentadas, julgue o item seguinte.
O PLS é uma técnica de calibração multivariada.
Provas
Questão presente nas seguintes provas
Vitamina C (ou ácido ascórbico), antitérmicos e soro fisiológico são produtos químicos utilizados como medicamentos de uso cotidiano. O ácido ascórbico é empregado na conservação de alimentos e também no combate ao escorbuto. Sua estrutura molecular é apresentada na seguinte figura.

Alguns medicamentos analgésicos que também são antitérmicos têm como princípios ativos o ácido acetilsalicílico e a cafeína. Apesar de esses dois princípios ativos apresentarem bandas sobrepostas nos espectros de emissão e excitação, sua análise quantitativa em fármacos é viável por meio da regressão de mínimos quadrados parciais (PLS – Partial Least Squares). Comparado ao método quantitativo, em que os compostos são separados e pesados individualmente para a determinação do teor de cada um na amostra, o método PLS oferece economia de tempo, reagentes e recursos financeiros.
O soro fisiológico, por sua vez, é uma solução isotônica em relação aos líquidos corporais humanos, na qual o NaCR está dissolvido em água.
Considerando as informações apresentadas, julgue o item seguinte.
Os átomos de carbono do ácido ascórbico têm estrutura tetraédrica.
Provas
Questão presente nas seguintes provas
Vitamina C (ou ácido ascórbico), antitérmicos e soro fisiológico são produtos químicos utilizados como medicamentos de uso cotidiano. O ácido ascórbico é empregado na conservação de alimentos e também no combate ao escorbuto. Sua estrutura molecular é apresentada na seguinte figura.

Alguns medicamentos analgésicos que também são antitérmicos têm como princípios ativos o ácido acetilsalicílico e a cafeína. Apesar de esses dois princípios ativos apresentarem bandas sobrepostas nos espectros de emissão e excitação, sua análise quantitativa em fármacos é viável por meio da regressão de mínimos quadrados parciais (PLS – Partial Least Squares). Comparado ao método quantitativo, em que os compostos são separados e pesados individualmente para a determinação do teor de cada um na amostra, o método PLS oferece economia de tempo, reagentes e recursos financeiros.
O soro fisiológico, por sua vez, é uma solução isotônica em relação aos líquidos corporais humanos, na qual o NaCR está dissolvido em água.
Considerando as informações apresentadas, julgue o item seguinte.
O ácido ascórbico apresenta atividade ótica.
Provas
Questão presente nas seguintes provas
Cadernos
Caderno Container