Foram encontradas 60 questões.
Até recentemente, a filogenia dos seres vivos era baseada principalmente em características fenotípicas e, considerando similaridades estruturais, dividia os organismos em cinco reinos, um dos quais abrigava todos os seres procarióticos. Os cinco reinos eram: Monera, Protista, Fungi, Plantae e Animalia. As análises de rRNA 16S revelaram a existência de sequências de nucleotídeos peculiares a um ou a alguns grupos de organismos, e a comparação dessas sequências conduziu à filogenia molecular .
Considerando as informações contidas no texto. leia as afirmativas abaixo.
I. Seguindo a linha molecular , admite-se que a vida evoluiu por três grandes linhagens, duas delas compostas por células procarióticas: Bacteria (que inclui as eubactérias) e Archaea (com as arqueobactérias). A terceira linhagem, Eukarya, é constituída pelos eucariotos e inclui protistas, fungos, plantas e animais.
II. Os três domínios da vida são todos oriundos de um progenoto (protocélula).
III. As análises indicam que Archaea está mais próxima de Eukarya que de Bacteria.
IV. A posição de Archaea, mais próxima do progenoto (protocélula), indica que esta linhagem permanece como representante dos organismos mais primitivos.
V. As análises de rRNA estabelecem que Somo sapiens (homem) é uma espécie mais próxima de Zea mays (milho) do que Escherichia coli (bactéria Gram-negativa) o é de Bacillus subtilis (bactéria Gram-positiva).
A alternativa correta é
Provas
Um dos problemas associados à utilização de combustíveis derivados do petróleo é a formação de SO2 durante a combustão. A partir do SO2 pode-se ter a seguinte sequência de reações:

A este respeito, pode-se afirmar que
Provas
Os átomos dos elementos de um mesmo grupo da tabela periódica podem formar moléculas com fórmulas químicas similares. É o caso do oxigênio e do enxofre, que formam com o hidrogênio a água, H2O, e o sulfeto de hidrogênio, H2S, respectivamente. Porém, o ponto de ebulição normal da água é 100 ºC, enquanto que o do H2S é -63 ºC. A justificativa para este fato é
Provas
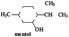
O mentol é uma substância utilizada na fabricação de balas, goma de mascar , medicamentos, etc., sendo responsável pelo aroma de menta.

Considerando a estrutura do mentol, podemos afirmar que sua fórmula molecular e o número de carbonos primários presentes na estrutura são, respectivamente,
Provas
Ao isoctano, um hidrocarboneto de cadeia aberta, saturada e ramificada, um dos principais componentes da gasolina, é atribuído o índice de octanagem igual a 100 (cem), devido proporcionar um melhor desempenho em motores de automóveis. A nomenclatura IUPAC do isoctano é:
Provas
A corrosão é um processo químico que destrói os materiais ferrosos causando sérios prejuízos. Em ambientes marinhos, ou em cidades perto do mar, o processo corrosivo é mais intenso. Isto se deve ao fato de que
Provas
O forte odor de peixe exalado nos mercados é devido principalmente a um grupo de substâncias pertencentes à função amina. Abaixo são apresentadas as estruturas químicas de cinco substâncias:
I.

II.
![]()
III.

IV.

V.
![]()
Assinale a alternativa que corresponde à substância que pode ser responsável pelo odor de peixe.
Provas
O gás oxigênio, O2, é incolor, inodoro e insípido. É pouco solúvel em água. Não é combustível, mas é comburente.
Sobre a afirmativa acima, é correto afirmar que
Provas
A figura abaixo (sem escala) apresenta um modelo teórico onde três satélites artificiais, A, B e C, giram em órbitas elípticas, praticamente circulares, em tomo da Terra.

Com base nas Leis de Kepler do movimento planetário e na Lei da Gravitação Universal, assinale a única alternativa correta.
Provas
Ao analisar uma amostra de material radioativo coletado em um hospital, um biomédico, na tentativa de identificar o elemento emissor da radiação, resolve determinar a meia-vida do referido elemento realizando medições da radioatividade. Inicialmente registra 64.000 contagens por minuto e, 9 horas mais tarde, registra uma taxa de apenas 1.000 contagens por minuto. Assim, o pesquisador pôde constatar que a meia-vida do elemento radioativo é igual a
Provas
Caderno Container