Foram encontradas 830 questões.
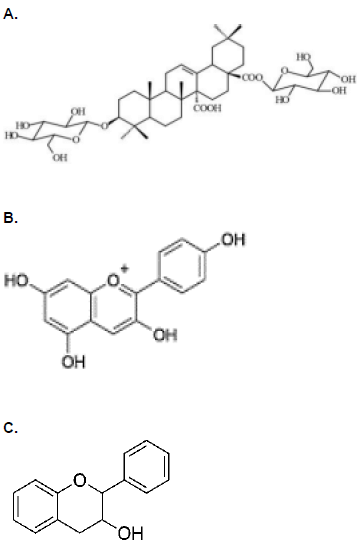
As estruturas químicas (A, B e C) apresentadas a seguir representam exemplos, respectivamente, de:

Provas
Sobre os estudos de estabilidade de insumos farmacêuticos ativos (IFAs) e medicamentos, exceto biológicos, assinale a alternativa INCORRETA.
Provas
As enzimas são proteínas especializadas na catálise de reações biológicas que aceleram a velocidade de uma reação e que são aplicadas industrialmente. Sobre esse tema, assinale a alternativa INCORRETA.
Provas
A figura a seguir apresenta o perfil de dissolução de um medicamento referência (1) e de outros medicamentos contendo o mesmo fármaco (2, 3, 4 e 5). Considerando que todos os medicamentos analisados cumpriram com os testes de identificação, peso médio, dureza, friabilidade, desintegração, uniformidade de doses unitárias e doseamento e que somente o medicamento 5 foi reprovado no teste de dissolução, analise a figura e assinale a alternativa correta.

Provas
Os distúrbios metabólicos, quando muito graves, levam à morte celular ou necrose. Sobre esses distúrbios, assinale a alternativa INCORRETA.
Provas
A lesão celular reversível, devido ao acúmulo de água e eletrólitos no citoplasma e nas organelas celulares, por distúrbio hidroeletrolítico, tornando-as volumosas, é denominada
Provas
Em relação à toxicologia dos solventes e inalantes, informe se é verdadeiro (V) ou falso (F) o que se afirma a seguir e assinale a alternativa com a sequência correta.
( ) A intoxicação aguda por tolueno leva à fraqueza muscular, hipercalemia, alcalose metabólica e encefalopatia progressiva e reversível, com dificuldades cognitivas e ataxia cerebelar.
( ) O abuso de colas e tintas contendo benzeno e cloreto de etila leva ao desenvolvimento de neuropatia periférica com alteração da marcha (“andar de pato”).
( ) O abuso de óxido nitroso leva a diversos efeitos neurológicos, como ataxia, polineuropatia e psicose.
( ) O termo sudden sniffing death se refere ao colapso cardiovascular associado à inalação de hidrocarbonetos, especialmente os halogenados, que leva à morte súbita.
Provas
Paciente do sexo masculino, 45 anos, com suspeita de intoxicação por opioides, apresentou, ao exame clínico: rebaixamento do nível de consciência, depressão respiratória, hipotensão, hipotermia e pupilas mióticas puntiformes. O procedimento correto nesse caso é.
Provas
A ameba de vida livre encontrada em algumas coleções de águas naturais, que eventualmente contamina a mucosa nasal de banhistas, invadindo o sistema nervoso através dos nervos oftálmicos é a
Provas
Na fabricação industrial de comprimidos de cetoconazol 200 mg, foram utilizados 130 mg de excipiente (Lauril sulfato de sódio, talco e estearato de magnésio). Sobre a fabricação e o controle de qualidade físico-químico dessa forma farmacêutica sólida, assinale a alternativa correta.
Provas
Caderno Container