Magna Concursos

Foram encontradas 39 questões.

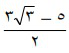
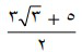
O valor da expressão:

!$ \dfrac 2{\sqrt3}-\dfrac 2{2+\sqrt3}-\dfrac 2{3+\sqrt3} !$

 

Provas

Questão presente nas seguintes provas
1315196 Ano: 2009
Disciplina: Engenharia Elétrica
Banca: PM-MG
Orgão: PM-MG
Qual a potência dissipada em um determinado circuito para uma tensão de V=240V e uma corrente de I=4A?:
 

Provas

Questão presente nas seguintes provas

Observe a concordância do verbo “legitimar” no seguinte período e depois assinale a afirmativa CORRETA:

Essa relação entre a linguagem midiática e as relações no interior da sociedade de massas legitima as tropelias e ilegalidades praticadas pelas burocracias públicas e promovem a subversão da hierarquia entre os poderes do Estado.

 

Provas

Questão presente nas seguintes provas
Contradições do mundo em que vivemos
Devemos sempre resistir à impressão de que o mundo enlouqueceu. O famoso conto de Machado de Assis “O Alienista” nos deixa essa lição. Doutor Simão Bacamarte, depois de trancar toda a cidade no manicômio – inclusive a sua própria mulher – acabou por trancar a si mesmo.
Se não é saudável nem prudente apostar na loucura geral, imaginando-se em plena sanidade, há evidências de que grassa uma epidemia de capota furada. Junto dois textos que julgo oportuno republicar diante das manifestações – contra, a favor e muito ao contrário – suscitadas pela prisão dos diretores da Camargo Correa e de Eliana Tranchesi. Os dois episódios desataram um desfile de fúria e descontrole moral entre os comentaristas de blogs e missivistas das colunas de Cartas ao Leitor. Não se trata aqui de discutir as razões e as justificativas das ações da polícia ou a procedência das decisões judiciais. Cuida-se de examinar as reações aos fatos e avaliar o estado da consciência jurídica que predomina entre os cidadãos deste país.
Nos episódios mencionados, os ululantes atacaram, mais uma vez, com as bordunas do preconceito, da intolerância e da apologia da brutalidade, sem falar nas ações em massa contra última flor do Lácio, inculta e bela. Alguém já dizia que há método na loucura, mas a desrazão caprichou na metodologia. Expressões grosseiramente facistoides poucas vezes foram utilizadas com tanta liberalidade e descuido. A generosa distribuição de adjetivos foi acompanhada de exaltadas conclamações para o retorno dos militares ou sugestões para que o desrespeito à lei e aos direitos individuais se transformassem em regra geral e irrestrita
Torço para que o destampatório seja mais um esgar do que um ideário consistente. Mas não custa ficar esperto: os estudiosos do totalitarismo sabem que a “autovitimização” da “boa sociedade” e a inculpação do “outro” foram métodos eficientes para a conquista do poder absoluto. Vejo nos blogs: os mais furiosos se apresentam como “humanos direitos”, em contraposição aos defensores dos “direitos humanos”. Fico a imaginar como seria a vida dos humanos direitos na moderna sociedade capitalista de massas, crivada de conflitos e contradições, sem as instituições que garantam os direitos civis, sociais e econômicos conquistados a duras penas. A possibilidade da realização desse pesadelo, um tropismo da anarquia de massas, tornaria o Gulag e o Holocausto um ensaio de amadores
As novas operações da Polícia Federal desataram, ademais, a costumeira rodada de críticas ao poder Judiciário e às leis destinadas a proteger os direitos individuais, – a começar da Constituição. As acusações, em boa medida, partem de certa esquerda de boca torta. Em sua sede de “justiça” (com letra minúscula ) ela se acumplicia aos extremistas de direita das classes remediadas, em sua campanha para “limpar” a sociedade. “A polícia prende, a Justiça solta”. Refrão midiático destinado ao imaginário de um povo habituado a ser preso e espancado arbitrariamente, desamparado da consciência de seus direitos. O século XXI já vai completar uma década e, no Brasil, a letra da lei que garante os direitos do indivíduo jaz inerte nos compêndios. As garantias individuais ainda não saíram dos códigos para ganhar vida do povaréu, quotidianamente massacrado pelos abusos dos senhoritos da “ordem” e seus sequazes. (...)
O jurista Herbert Hart, no livro The Concept of Law diz com razão que o juiz não pode decidir como supremo censor e guardião da moralidade pública. A primeira e ilustre vítima do particularismo moralista será o princípio da legalidade que deve estabelecer com a maior clareza possível o que é lícito e o que não é. Exemplo de atropelo ao princípio da legalidade é a lei promulgada pelo regime nazista em 1935. Ela prescrevia que era “digno de punição qualquer crime definido como tal pelo ‘saudável sentimento’ popular”.
No ensaio O Estado e o Indivíduo no Nacional-Socialismo, Herbert Marcuse argumentava que, na era moderna, o domínio da lei, o monopólio do poder coercitivo e a soberania nacional são as três características do Estado que mais claramente expressam a divisão racional de funções entre Estado e Sociedade. “A lei trata as pessoas, se não como iguais, pelo menos sem considerar as contingências sociais mais óbvias; é, por assim dizer, a corte de apelação que mitiga os infortúnios e as injustiças que as pessoas sofrem em suas relações sociais. O caráter universal da lei oferece proteção universal a todos os cidadãos, não apenas em relação ao desastroso jogo de autointeresses conflitantes, mas também aos caprichos governamentais. O regime nacional-socialista aboliu estas propriedades da lei que a tinham elevado acima dos riscos da luta social.” (...)
No mundo das grandes empresas e da inevitável mediação do Estado nas disputas entre os competidores privados, a exceção tende a se tornar a regra. Tal estado de excepcionalidade deságua na proliferação legislativa casuística e na ameaça permanente ao caráter abstrato e universal da norma jurídica. A contradição se torna aguda: de um lado, a liberdade dos indivíduos no mercado exige a independência do Judiciário, certeiro na aplicação da lei e cuidadoso em seus procedimentos; de outra parte, a “corrupção” quase congênita, engendrada pela concorrência econômica mediada pelo Estado, estimula a formação de correntes de opinião que propugnam por formas primitivas de punição e de vingança. (...)
Para assumir a condição de sujeitos de direitos e deveres, os indivíduos são constrangidos a abdicar de sua moral particularista. O consensus iuris é o reconhecimento dos cidadãos de que o direito, ou seja, o sistema de regras positivas emanadas dos poderes do Estado e legitimados pelo sufrágio universal deve punir rigorosamente quem se aventura à violação da norma abstrata. Mas a mediação do Estado é precária, sugere Giorgio Agambem, pois a soberania é um frágil compromisso entre a natureza e a razão, o direito e a violência. (...)
Os meios de comunicação de massa, compelidos pela disputa de audiência, são arrastados para o abismo da vulgaridade, pelos “movimentos da ralé”. Eles repercutem e realimentam as simplificações e slogans de um tipo de sociabilidade que necessita cada vez mais, para reproduzir suas formas de dominação, da incompreensão dos indivíduos abandonados à sua solidão. Essa relação entre a linguagem midiática e as relações no interior da sociedade de massas legitima as tropelias e ilegalidades praticadas pelas burocracias públicas e promovem a subversão da hierarquia entre os poderes do Estado. As empresas corrompem a política e, assim, degradam o instituto da representação popular. Procuradores e policiais fazem gravações clandestinas ou inventam provas e assim corrompem o princípio da legalidade e da impessoalidade nos atos da administração pública. Nas altas esferas do Olimpo midiático, “a imprensa diária dispara a cortina de relâmpagos” e trata de manipular a opinião pública, atemorizar juízes e fomentar a arbitrariedade dos esbirros e beleguins.
Disponível em: http://www.cartacapital.com.br/app/coluna.jsp?a=2&a2=5&i=3730>
Conforme o 2º parágrafo do texto é CORRETO afirmar que:
 

Provas

Questão presente nas seguintes provas

Assinale a alternativa onde há oração subordinada substantiva completiva nominal reduzida:

 

Provas

Questão presente nas seguintes provas
172053 Ano: 2009
Disciplina: Engenharia Elétrica
Banca: PM-MG
Orgão: PM-MG
Marque a alternativa CORRETA. Em uma associação de três capacitores com valores de: 5uF, 10uF e 15uF, ligados em série, a capacitância total será:
 

Provas

Questão presente nas seguintes provas

Assinale a alternativa em que todas as palavras acentuadas nos seguintes trechos recebem o acento pela mesma regra:

 

Provas

Questão presente nas seguintes provas
Contradições do mundo em que vivemos
Devemos sempre resistir à impressão de que o mundo enlouqueceu. O famoso conto de Machado de Assis “O Alienista” nos deixa essa lição. Doutor Simão Bacamarte, depois de trancar toda a cidade no manicômio – inclusive a sua própria mulher – acabou por trancar a si mesmo.
Se não é saudável nem prudente apostar na loucura geral, imaginando-se em plena sanidade, há evidências de que grassa uma epidemia de capota furada. Junto dois textos que julgo oportuno republicar diante das manifestações – contra, a favor e muito ao contrário – suscitadas pela prisão dos diretores da Camargo Correa e de Eliana Tranchesi. Os dois episódios desataram um desfile de fúria e descontrole moral entre os comentaristas de blogs e missivistas das colunas de Cartas ao Leitor. Não se trata aqui de discutir as razões e as justificativas das ações da polícia ou a procedência das decisões judiciais. Cuida-se de examinar as reações aos fatos e avaliar o estado da consciência jurídica que predomina entre os cidadãos deste país.
Nos episódios mencionados, os ululantes atacaram, mais uma vez, com as bordunas do preconceito, da intolerância e da apologia da brutalidade, sem falar nas ações em massa contra última flor do Lácio, inculta e bela. Alguém já dizia que há método na loucura, mas a desrazão caprichou na metodologia. Expressões grosseiramente facistoides poucas vezes foram utilizadas com tanta liberalidade e descuido. A generosa distribuição de adjetivos foi acompanhada de exaltadas conclamações para o retorno dos militares ou sugestões para que o desrespeito à lei e aos direitos individuais se transformassem em regra geral e irrestrita
Torço para que o destampatório seja mais um esgar do que um ideário consistente. Mas não custa ficar esperto: os estudiosos do totalitarismo sabem que a “autovitimização” da “boa sociedade” e a inculpação do “outro” foram métodos eficientes para a conquista do poder absoluto. Vejo nos blogs: os mais furiosos se apresentam como “humanos direitos”, em contraposição aos defensores dos “direitos humanos”. Fico a imaginar como seria a vida dos humanos direitos na moderna sociedade capitalista de massas, crivada de conflitos e contradições, sem as instituições que garantam os direitos civis, sociais e econômicos conquistados a duras penas. A possibilidade da realização desse pesadelo, um tropismo da anarquia de massas, tornaria o Gulag e o Holocausto um ensaio de amadores
As novas operações da Polícia Federal desataram, ademais, a costumeira rodada de críticas ao poder Judiciário e às leis destinadas a proteger os direitos individuais, – a começar da Constituição. As acusações, em boa medida, partem de certa esquerda de boca torta. Em sua sede de “justiça” (com letra minúscula ) ela se acumplicia aos extremistas de direita das classes remediadas, em sua campanha para “limpar” a sociedade. “A polícia prende, a Justiça solta”. Refrão midiático destinado ao imaginário de um povo habituado a ser preso e espancado arbitrariamente, desamparado da consciência de seus direitos. O século XXI já vai completar uma década e, no Brasil, a letra da lei que garante os direitos do indivíduo jaz inerte nos compêndios. As garantias individuais ainda não saíram dos códigos para ganhar vida do povaréu, quotidianamente massacrado pelos abusos dos senhoritos da “ordem” e seus sequazes. (...)
O jurista Herbert Hart, no livro The Concept of Law diz com razão que o juiz não pode decidir como supremo censor e guardião da moralidade pública. A primeira e ilustre vítima do particularismo moralista será o princípio da legalidade que deve estabelecer com a maior clareza possível o que é lícito e o que não é. Exemplo de atropelo ao princípio da legalidade é a lei promulgada pelo regime nazista em 1935. Ela prescrevia que era “digno de punição qualquer crime definido como tal pelo ‘saudável sentimento’ popular”.
No ensaio O Estado e o Indivíduo no Nacional-Socialismo, Herbert Marcuse argumentava que, na era moderna, o domínio da lei, o monopólio do poder coercitivo e a soberania nacional são as três características do Estado que mais claramente expressam a divisão racional de funções entre Estado e Sociedade. “A lei trata as pessoas, se não como iguais, pelo menos sem considerar as contingências sociais mais óbvias; é, por assim dizer, a corte de apelação que mitiga os infortúnios e as injustiças que as pessoas sofrem em suas relações sociais. O caráter universal da lei oferece proteção universal a todos os cidadãos, não apenas em relação ao desastroso jogo de autointeresses conflitantes, mas também aos caprichos governamentais. O regime nacional-socialista aboliu estas propriedades da lei que a tinham elevado acima dos riscos da luta social.” (...)
No mundo das grandes empresas e da inevitável mediação do Estado nas disputas entre os competidores privados, a exceção tende a se tornar a regra. Tal estado de excepcionalidade deságua na proliferação legislativa casuística e na ameaça permanente ao caráter abstrato e universal da norma jurídica. A contradição se torna aguda: de um lado, a liberdade dos indivíduos no mercado exige a independência do Judiciário, certeiro na aplicação da lei e cuidadoso em seus procedimentos; de outra parte, a “corrupção” quase congênita, engendrada pela concorrência econômica mediada pelo Estado, estimula a formação de correntes de opinião que propugnam por formas primitivas de punição e de vingança. (...)
Para assumir a condição de sujeitos de direitos e deveres, os indivíduos são constrangidos a abdicar de sua moral particularista. O consensus iuris é o reconhecimento dos cidadãos de que o direito, ou seja, o sistema de regras positivas emanadas dos poderes do Estado e legitimados pelo sufrágio universal deve punir rigorosamente quem se aventura à violação da norma abstrata. Mas a mediação do Estado é precária, sugere Giorgio Agambem, pois a soberania é um frágil compromisso entre a natureza e a razão, o direito e a violência. (...)
Os meios de comunicação de massa, compelidos pela disputa de audiência, são arrastados para o abismo da vulgaridade, pelos “movimentos da ralé”. Eles repercutem e realimentam as simplificações e slogans de um tipo de sociabilidade que necessita cada vez mais, para reproduzir suas formas de dominação, da incompreensão dos indivíduos abandonados à sua solidão. Essa relação entre a linguagem midiática e as relações no interior da sociedade de massas legitima as tropelias e ilegalidades praticadas pelas burocracias públicas e promovem a subversão da hierarquia entre os poderes do Estado. As empresas corrompem a política e, assim, degradam o instituto da representação popular. Procuradores e policiais fazem gravações clandestinas ou inventam provas e assim corrompem o princípio da legalidade e da impessoalidade nos atos da administração pública. Nas altas esferas do Olimpo midiático, “a imprensa diária dispara a cortina de relâmpagos” e trata de manipular a opinião pública, atemorizar juízes e fomentar a arbitrariedade dos esbirros e beleguins.
Disponível em: http://www.cartacapital.com.br/app/coluna.jsp?a=2&a2=5&i=3730>
É CORRETO afirmar, de acordo com o último parágrafo do texto, que:
 

Provas

Questão presente nas seguintes provas

De acordo com a Constituição Federativa do Brasil, de 1988, é reconhecida a instituição do júri, com a organização que lhe der a lei, assegurada:

 

Provas

Questão presente nas seguintes provas
117235 Ano: 2009
Disciplina: Engenharia Eletrônica
Banca: PM-MG
Orgão: PM-MG
Quanto ao Transistor de Unijunção (UJT) é CORRETO afirmar que:
 

Provas

Questão presente nas seguintes provas