Magna Concursos

Foram encontradas 114 questões.

2554390 Ano: 2018
Disciplina: Filosofia
Banca: UFPR
Orgão: PM-PR
Provas:
Considere as três premissas abaixo:
  1. Devemos proibir legalmente apenas o que é moralmente incorreto.
  2. Os filhos mentirem para os pais é moralmente incorreto.
  3. Todavia, os filhos mentirem para os pais não deve ser legalmente proibido.
A partir dessas premissas, é correto inferir que:
 

Provas

Questão presente nas seguintes provas
2554372 Ano: 2018
Disciplina: Inglês (Língua Inglesa)
Banca: UFPR
Orgão: PM-PR
Provas:
More than 100 South African gold miners treated for smoke inhalation
JOHANNESBURG (Reuters) – Hundreds of South African gold mine workers were rescued and over 100 treated for smoke inhalation after an underground fire, the National Union of Mineworkers (NUM) said on Thursday.
Safety is a huge issue in South Africa’s dangerous deep-level mines and a focus for investors. A spate of deaths at Sibanye-Stillwater’s gold operations, including a seismic event that killed seven miners in early May, has highlighted the risks.
In the latest incident, more than 600 miners were initially trapped after a fire broke out at a mine east of Johannesburg operated by unlisted Gold One, NUM said.
This comes almost two weeks after five miners died in an underground fire at a South African copper mine operated by unlisted Palabora Mining Company in Limpopo.
Company officials could not immediately be reached for comment.
“As the NUM, we vehemently condemn this kind of incident as it is becoming a trend”, the union said in a statement.
(Disponível em: <https://www.reuters.com/article/us-safrica-mining-fire/more-than-100-south-african-gold-miners-treated-for-smoke-inhalation-idUS KBN1KG294>.)
Gold One and Palabora Mining Company operate South African mines. Both companies have one aspect in common: they are unlisted. This means that these companies:
 

Provas

Questão presente nas seguintes provas
2554329 Ano: 2018
Disciplina: Matemática
Banca: UFPR
Orgão: PM-PR
Provas:

Em uma reunião de condomínio, os moradores resolveram fazer um sorteio para decidir a ordem em que suas casas serão pintadas. As 8 casas desse condomínio estão dispostas conforme o esquema ao lado. Dizemos que duas casas são vizinhas quando estão dispostas de frente ou de lado. Por exemplo, a casa 3 é vizinha das casas 1, 4 e 5, enquanto a casa 8 é vizinha apenas das casas 6 e 7.

Enunciado 2899980-1

Qual é a probabilidade das duas primeiras casas sorteadas serem vizinhas?

 

Provas

Questão presente nas seguintes provas
2554286 Ano: 2018
Disciplina: Inglês (Língua Inglesa)
Banca: UFPR
Orgão: PM-PR
Provas:
More than 100 South African gold miners treated for smoke inhalation
JOHANNESBURG (Reuters) – Hundreds of South African gold mine workers were rescued and over 100 treated for smoke inhalation after an underground fire, the National Union of Mineworkers (NUM) said on Thursday.
Safety is a huge issue in South Africa’s dangerous deep-level mines and a focus for investors. A spate of deaths at Sibanye-Stillwater’s gold operations, including a seismic event that killed seven miners in early May, has highlighted the risks.
In the latest incident, more than 600 miners were initially trapped after a fire broke out at a mine east of Johannesburg operated by unlisted Gold One, NUM said.
This comes almost two weeks after five miners died in an underground fire at a South African copper mine operated by unlisted Palabora Mining Company in Limpopo.
Company officials could not immediately be reached for comment.
“As the NUM, we vehemently condemn this kind of incident as it is becoming a trend”, the union said in a statement.
(Disponível em: <https://www.reuters.com/article/us-safrica-mining-fire/more-than-100-south-african-gold-miners-treated-for-smoke-inhalation-idUS KBN1KG294>.)
De acordo com o texto, é correto afirmar:
 

Provas

Questão presente nas seguintes provas
2554231 Ano: 2018
Disciplina: Matemática
Banca: UFPR
Orgão: PM-PR
Provas:
Um tanque contém uma solução de água e sal cuja concentração está diminuindo devido à adição de mais água. Suponha que a concentração !$ Q(t) !$ de sal no tanque, em gramas por litro (g/l), decorridas t horas após o início da diluição, seja dada por
!$ Q(t) = 100 \times 5^{-0,3t} !$
Assinale a alternativa que mais se aproxima do tempo necessário para que a concentração de sal diminua para 50 g/l.
(Use !$ log !$ !$ 5=0,7 !$)
 

Provas

Questão presente nas seguintes provas
2554175 Ano: 2018
Disciplina: Sociologia
Banca: UFPR
Orgão: PM-PR
Provas:
No preâmbulo da Declaração Universal dos Direitos Humanos, lê-se:
“[...] Considerando que o desconhecimento e o desprezo dos direitos do Homem conduziram a atos de barbárie que revoltam a consciência da Humanidade e que o advento de um mundo em que os seres humanos sejam livres de falar e de crer, libertos do terror e da miséria, foi proclamado como a mais alta inspiração do Homem [...]”. (grifo nosso)
A partir dos conhecimentos sobre o contexto histórico dessa declaração, assinale a alternativa que indica os eventos históricos em que ocorreram “atos de barbárie” no século XX, antes da publicação desse documento e que tiveram impacto na sua elaboração.
 

Provas

Questão presente nas seguintes provas
2554159 Ano: 2018
Disciplina: Física
Banca: UFPR
Orgão: PM-PR
Provas:
Um motociclista descreve uma trajetória circular de raio R=5 m, com uma velocidade de módulo !$ V=10 !$ m/s medida por um observador inercial. Considerando que a massa combinada do motociclista e da motocicleta vale 250 kg, assinale a alternativa que expressa corretamente o módulo da força centrípeta necessária para a realização da trajetória circular.
 

Provas

Questão presente nas seguintes provas
2554101 Ano: 2018
Disciplina: Física
Banca: UFPR
Orgão: PM-PR
Provas:
O diagrama P x V ao lado ilustra uma sequência de processos termodinâmicos executada por um gás ideal monoatômico, passando pelos pontos A, B, C e D, caracterizados pelos valores de pressão e volume apresentados no diagrama. Tendo em vista as informações apresentadas no diagrama, considere as seguintes afirmativas:
Enunciado 2882261-1
  1. O processo !$ A !$!$ B !$ é isométrico.
  2. Os pontos !$ C !$ e !$ D !$ estão à mesma temperatura.
  3. O trabalho realizado pelo gás no processo !$ B !$!$ C !$ é nulo.
  4. O processo !$ C !$!$ D !$ é isobárico.
Assinale a alternativa correta.
 

Provas

Questão presente nas seguintes provas
2554078 Ano: 2018
Disciplina: Química
Banca: UFPR
Orgão: PM-PR
Provas:
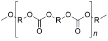
Os grandes protagonistas na Copa do Mundo de Futebol na Rússia em 2018 foram os polímeros, e não os jogadores. Os polímeros estavam presentes nos uniformes dos jogadores e na bola. O polímero que merece destaque é o poliuretano, utilizado para a impressão térmica dos nomes, números e logos nos uniformes, além de ser utilizado como couro sintético das bolas utilizadas na competição. O poliuretano é obtido a partir da reação entre um isocianato e um poliol, conforme o esquema a seguir:
Enunciado 2880726-1
A estrutura química da unidade de repetição desse polímero é:
 

Provas

Questão presente nas seguintes provas
2554066 Ano: 2018
Disciplina: Biologia
Banca: UFPR
Orgão: PM-PR
Provas:

Em animais pluricelulares, as células organizam-se constituindo tecidos. Considerando os tecidos, suas funções e as características das células que os constituem, assinale a alternativa correta.

 

Provas

Questão presente nas seguintes provas