Foram encontradas 86 questões.
No Google Drive, um usuário selecionou 3 arquivos na Pasta 1, conforme a figura.

Para copiar os links para os 3 arquivos, o usuário deve clicar sobre a opção:
Provas
- EscritórioMicrosoft OfficePowerpointVersões do PowerpointMicrosoft PowerPoint 2016 e 365Powerpoint 2016
Em um slide em branco do MS-PowerPoint 2016 foram inseridas 3 formas: primeiramente, uma seta para a direita; depois, um retângulo; e, por último, um triângulo isósceles, conforme a figura 1.

Em seguida, apenas a seta para a direita foi selecionada e, na guia Forma de Formato, na opção Avançar, foi selecionado Avançar.

Posteriormente, as 3 formas foram selecionadas e, na guia Forma de Formato, na opção Alinhar, com a opção Alinhar Objetos Selecionados marcada, foi selecionado Alinhar Acima. Por fim, com as 3 formas selecionadas e clicando novamente na opção Alinhar, foi selecionado Centralizar.

Após essas ações, a disposição das formas no slide é a representada em:
Provas
No MS-Excel 2016, uma planilha de controle de estoque tem uma imagem na primeira linha e um cabeçalho na terceira linha, que é seguido de várias linhas com os dados do estoque, conforme a figura 1.

Deseja-se obter o efeito de rolar pelas linhas dessa planilha de maneira que as três primeiras linhas permaneçam visíveis e as demais rolem por baixo dessas linhas, conforme a figura 2, que mostra que as linhas 4 a 9 rolaram por baixo do cabeçalho.

Para conseguir esse efeito, é usada a opção Congelar Painéis da guia Exibir, representada na figura 3.

Uma possibilidade para se conseguir esse efeito é
Provas
No MS-Word 2016, cinco nomes foram digitados, com todas as letras maiúsculas, em cinco linhas consecutivas. Em seguida, os cinco nomes foram selecionados e foi acionado o botão
, que pertence ao grupo de opções de formato de Fonte, conforme mostra a figura.

Dessa maneira, os cinco nomes foram
Provas
De acordo com a Constituição do Estado de São Paulo,
Provas
A Constituição Federal expressamente prevê que a soberania popular será exercida pelo sufrágio universal e pelo voto direto e secreto, com valor igual para todos, e, nos termos da lei, mediante
Provas
Nos grandes grupos de vertebrados, o sistema cardiovascular apresenta variações em relação à anatomia do coração e à trajetória do sangue arterial e do sangue venoso nesse sistema. Dessa forma, o coração do
Provas
A imagem mostra células sanguíneas humanas adultas e saudáveis.

(www.nih.gov)
Essas células sanguíneas humanas
Provas
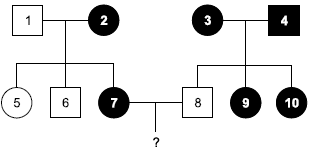
Na genealogia a seguir, os indivíduos destacados, 2, 3, 4, 7, 9 e 10, apresentam uma condição genética autossômica.

De acordo com essa genealogia, a probabilidade de o casal formado pelos indivíduos 7 e 8 gerar uma criança com o mesmo fenótipo apresentado pela pessoa 7 é
Provas
Ostras, polvos e caracóis se assemelham em muitas características morfológicas e fisiológicas, mas existem diferenças entre eles. O estudo taxonômico desses animais permite incluí- los no mesmo
Provas
Caderno Container