Magna Concursos

Foram encontradas 895 questões.

2756065 Ano: 2023
Disciplina: Informática
Banca: CESPE / CEBRASPE
Orgão: POLC-AL
Provas:

Considerando uma lista dos diretórios comuns no SO Linux que estão diretamente sob o diretório root (/), julgue o item seguinte.

Considere a planilha seguinte.

Enunciado 3582237-1

Em face desses dados, é correto afirmar que, no Microsoft Excel 365, ao se selecionarem as células de A1 a B4, acionar a funcionalidade Remover duplicatas na guia Dados, em seguida, selecionar as colunas A e B e, por fim, clicar em OK, o resultado será o apresentado a seguir.

Enunciado 3582237-2

 

Provas

Questão presente nas seguintes provas
2756064 Ano: 2023
Disciplina: TI - Sistemas Operacionais
Banca: CESPE / CEBRASPE
Orgão: POLC-AL
Provas:
Considerando uma lista dos diretórios comuns no SO Linux que estão diretamente sob o diretório root (/), julgue o item seguinte.
O diretório /mnt é um sistema de arquivos montado manualmente no disco rígido, e o /proc é um diretório dinâmico especial que mantém informação sobre o estado do sistema, incluindo os processos atualmente executados.
 

Provas

Questão presente nas seguintes provas
2756063 Ano: 2023
Disciplina: Farmácia
Banca: CESPE / CEBRASPE
Orgão: POLC-AL
Provas:

Enunciado 3583720-1

Para a validação de um método analítico por cromatografia líquida de alta eficiência, foi obtida a curva analítica mostrada na figura acima. Com base nessas informações, julgue o item a seguir.

O limite de detecção deste método é 0,0659 µg/mL.

 

Provas

Questão presente nas seguintes provas
2756062 Ano: 2023
Disciplina: Farmácia
Banca: CESPE / CEBRASPE
Orgão: POLC-AL
Provas:

Enunciado 3583719-1

Para a validação de um método analítico por cromatografia líquida de alta eficiência, foi obtida a curva analítica mostrada na figura acima. Com base nessas informações, julgue o item a seguir.

Os dados apresentados atendem aos parâmetros de exatidão e sensibilidade.

 

Provas

Questão presente nas seguintes provas
2756061 Ano: 2023
Disciplina: Farmácia
Banca: CESPE / CEBRASPE
Orgão: POLC-AL
Provas:

Enunciado 3583718-1

Para a validação de um método analítico por cromatografia líquida de alta eficiência, foi obtida a curva analítica mostrada na figura acima. Com base nessas informações, julgue o item a seguir.

Eliminando-se o terceiro ponto da curva (10 µg/mL), que não apresenta precisão aceitável, o parâmetro de linearidade será atendido.

 

Provas

Questão presente nas seguintes provas
2756060 Ano: 2023
Disciplina: Farmácia
Banca: CESPE / CEBRASPE
Orgão: POLC-AL
Provas:

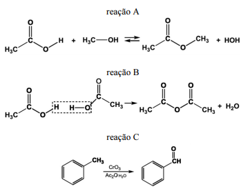
Enunciado 3583717-1

Em relação aos compostos orgânicos e às reações apresentadas a seguir, julgue o item subsequente.

Ácido carboxílico é o grupo funcional comum a todas as reações representadas.

 

Provas

Questão presente nas seguintes provas
2756059 Ano: 2023
Disciplina: Farmácia
Banca: CESPE / CEBRASPE
Orgão: POLC-AL
Provas:

Enunciado 3583716-1

Em relação aos compostos orgânicos e às reações apresentadas a seguir, julgue o item subsequente.

Tolueno, também denominado de metilbenzeno, é um composto aromático representado em C.

 

Provas

Questão presente nas seguintes provas
2756058 Ano: 2023
Disciplina: Farmácia
Banca: CESPE / CEBRASPE
Orgão: POLC-AL
Provas:

Enunciado 3583715-1

Em relação aos compostos orgânicos e às reações apresentadas a seguir, julgue o item subsequente.

Na reação B, a perda de uma molécula de água do ácido acético origina o anidrido etanoico.

 

Provas

Questão presente nas seguintes provas
2756057 Ano: 2023
Disciplina: Farmácia
Banca: CESPE / CEBRASPE
Orgão: POLC-AL
Provas:

Enunciado 3583714-1

Em relação aos compostos orgânicos e às reações apresentadas a seguir, julgue o item subsequente.

As reações A e C são reações de oxidação, ao passo que a reação B é uma desidratação cetônica.

 

Provas

Questão presente nas seguintes provas
2756056 Ano: 2023
Disciplina: Farmácia
Banca: CESPE / CEBRASPE
Orgão: POLC-AL
Provas:

Enunciado 3583713-1

Em relação aos compostos orgânicos e às reações apresentadas a seguir, julgue o item subsequente.

Na reação A, estão presentes os grupos funcionais ácido carboxílico, álcool e éster.

 

Provas

Questão presente nas seguintes provas