Magna Concursos

Foram encontradas 40 questões.

1453565 Ano: 2007
Disciplina: Legislação Federal
Banca: UPENET/IAUPE
Orgão: Polícia Científica-PE
Provas:

O motorista defensivo deve adotar algumas medidas para parar seguramente o veículo. Quando há objetos na pista, ou mesmo, pedestres, o condutor, ao perceber o perigo, deverá tentar parar o carro a uma distância segura em relação ao outro veículo. Esta distância é denominada de

 

Provas

Questão presente nas seguintes provas
1453564 Ano: 2007
Disciplina: Legislação Federal
Banca: UPENET/IAUPE
Orgão: Polícia Científica-PE
Provas:

O motorista, ao se deparar com a possibilidade de ocorrer um acidente momentâneo, deverá tomar uma atitude

 

Provas

Questão presente nas seguintes provas
1453563 Ano: 2007
Disciplina: Legislação Federal
Banca: UPENET/IAUPE
Orgão: Polícia Científica-PE
Provas:

As condições do veículo são de máxima importância para se evitarem acidentes. A manutenção deve ser feita regularmente. Dentre os defeitos em relação à estabilidade do carro, principalmente, citamos o(a)

 

Provas

Questão presente nas seguintes provas
1453562 Ano: 2007
Disciplina: Legislação Federal
Banca: UPENET/IAUPE
Orgão: Polícia Científica-PE
Provas:

Em algumas vias, existem condições adversas que podem prejudicar o trânsito e causar transtornos. O conhecimento, por parte do motorista, do estado de conservação assim como da quantidade de faixas e da presença de acostamento facilita e dá maior segurança aos condutores dos veículos. Caso o indivíduo esteja conduzindo seu veículo numa estrada rural, em um dia bastante chuvoso, no aclive de uma serra, ele deverá ter o cuidado, principalmente, em relação a(ao)

 

Provas

Questão presente nas seguintes provas
1453560 Ano: 2007
Disciplina: Matemática
Banca: UPENET/IAUPE
Orgão: Polícia Científica-PE
Provas:

A seqüência (2, 3, 5, x) é diretamente proporcional a (4, x, 10, y). O valor de x + y é

 

Provas

Questão presente nas seguintes provas
1453559 Ano: 2007
Disciplina: Matemática
Banca: UPENET/IAUPE
Orgão: Polícia Científica-PE
Provas:

Em um desenho de uma casa, o comprimento da sala, que é de 6m, está representado por um segmento de 3 cm. A escala utilizada foi de

 

Provas

Questão presente nas seguintes provas
1453558 Ano: 2007
Disciplina: Matemática
Banca: UPENET/IAUPE
Orgão: Polícia Científica-PE
Provas:

Numa cidade do interior, 40% da população é constituída de pessoas que têm menos de 18 anos. Sabendo-se que o número desses jovens é 88.000, calcular a população local.

 

Provas

Questão presente nas seguintes provas
1453557 Ano: 2007
Disciplina: Matemática
Banca: UPENET/IAUPE
Orgão: Polícia Científica-PE
Provas:

Numa gráfica, 7 máquinas do mesmo rendimento imprimem 50.000 cartazes iguais em 2 horas de funcionamento. Se duas máquinas não estiverem funcionando, as 5 máquinas farão o mesmo serviço em

 

Provas

Questão presente nas seguintes provas
1453556 Ano: 2007
Disciplina: Matemática
Banca: UPENET/IAUPE
Orgão: Polícia Científica-PE
Provas:

Considere o número 31313X em que X representa o algarismo das unidades. Se esse número é divisível por 4, então o valor máximo de que X pode assumir é

 

Provas

Questão presente nas seguintes provas
1453555 Ano: 2007
Disciplina: Matemática
Banca: UPENET/IAUPE
Orgão: Polícia Científica-PE
Provas:

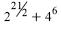
A metade do número 221 + 412 é:

 

Provas

Questão presente nas seguintes provas