Foram encontradas 80 questões.
Tomando como base conhecimentos no emprego de colunas cromatográficas, marque V para as afirmativas
verdadeiras e F para as falsas.
( ) Dois termos podem ser empregados para medir eficiência da coluna cromatográfica: Altura do prato teórico (H) e número de pratos teóricos (N), onde N = L/H, onde L = comprimento do empacotamento da coluna (cm). ( ) A eficiência da coluna cromatográfica aumenta à medida que N é menor conforme H aumenta. ( ) A resolução de uma coluna cromatográfica é uma medida qualitativa de sua habilidade em separar dois analitos A e B. ( ) Experimentalmente, pode-se calcular a eficiência da coluna pela equação N = 16 (tR/W)2 , onde tR é o tempo de retenção de um pico, e pela sua base W (em unidades de tempo).
Assinale a sequência correta.
( ) Dois termos podem ser empregados para medir eficiência da coluna cromatográfica: Altura do prato teórico (H) e número de pratos teóricos (N), onde N = L/H, onde L = comprimento do empacotamento da coluna (cm). ( ) A eficiência da coluna cromatográfica aumenta à medida que N é menor conforme H aumenta. ( ) A resolução de uma coluna cromatográfica é uma medida qualitativa de sua habilidade em separar dois analitos A e B. ( ) Experimentalmente, pode-se calcular a eficiência da coluna pela equação N = 16 (tR/W)2 , onde tR é o tempo de retenção de um pico, e pela sua base W (em unidades de tempo).
Assinale a sequência correta.
Provas
Questão presente nas seguintes provas
Considerando os métodos de separação e análise de cátions em Química Analítica Qualitativa, os cátions do
grupo III são Fe(III), Al(III), Cr(III), Ni(II), Co(II), Zn(II), Mn(II), cujo agente de precipitação é o íon
sulfeto. Muitos desses íons são metais de transição e formam compostos de coordenação coloridos.
Empregando-se todos os procedimentos corretos de separação e usando os reagentes NH4SCN 1 M/HCl 6 M
e NH4SCN 1 M (excesso) /Ácido Acético 2 M/Acetona, podem-se identificar os cátions, respectivamente:
Provas
Questão presente nas seguintes provas
A titulação de 0,2000 g de NaC2O4 puro requereu 45,00 mL de KMnO4. A reação química não balanceada é:

Qual é a concentração molar aproximada de solução de KMnO4?

Qual é a concentração molar aproximada de solução de KMnO4?
Provas
Questão presente nas seguintes provas
Dentre as muitas moléculas biológicas com anéis aromáticos policíclicos, a molécula do quinino, um
medicamento com propriedades antitérmicas, antimaláricas e analgésicas, é uma delas.

Assinale a alternativa que apresenta as funções orgânicas observadas na fórmula estrutural do quinino.

Assinale a alternativa que apresenta as funções orgânicas observadas na fórmula estrutural do quinino.
Provas
Questão presente nas seguintes provas
Analise as estruturas a seguir.

Assinale a alternativa que apresenta o tipo correto desses polímeros.
Provas
Questão presente nas seguintes provas
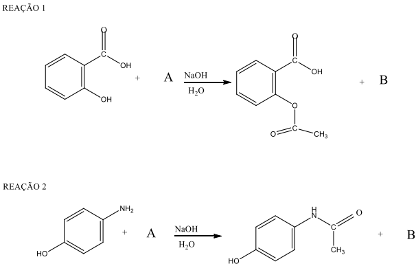
Analise as reações 1 e 2 a seguir.

O reagente A nas reações 1 e 2 é o mesmo, assim como é o mesmo o produto B nas reações 1 e 2. O reagente A e o produto B, são respectivamente:
Provas
Questão presente nas seguintes provas
Uma molécula que apresenta uma estrutura pentacoordenada, do tipo AX5 (onde A = metal de transição e X
é um ligante neutro), pode adotar duas geometrias possíveis: piramidal de base quadrada ou bipiramidal
trigonal. A distinção se um composto tem uma ou outra geometria é feita por
Provas
Questão presente nas seguintes provas
A respeito dos conceitos de carga nuclear efetiva (Zef), marque V para as afirmativas verdadeiras e F para as
falsas.
( ) A carga nuclear efetiva aumenta da esquerda para a direita em qualquer período da tabela periódica. ( ) Em um grupo, a carga nuclear efetiva que atua sobre os elétrons de valência varia muito menos do que em um período da tabela periódica. ( ) A carga nuclear efetiva diminui ligeiramente de cima para baixo em um grupo da tabela periódica. ( ) A carga nuclear efetiva que atua sobre os elétrons da camada mais externa é maior do que aquela que atua sobre os elétrons internos por causa da blindagem exercida pelos elétrons internos.
Assinale a sequência correta.
( ) A carga nuclear efetiva aumenta da esquerda para a direita em qualquer período da tabela periódica. ( ) Em um grupo, a carga nuclear efetiva que atua sobre os elétrons de valência varia muito menos do que em um período da tabela periódica. ( ) A carga nuclear efetiva diminui ligeiramente de cima para baixo em um grupo da tabela periódica. ( ) A carga nuclear efetiva que atua sobre os elétrons da camada mais externa é maior do que aquela que atua sobre os elétrons internos por causa da blindagem exercida pelos elétrons internos.
Assinale a sequência correta.
Provas
Questão presente nas seguintes provas
A cocaína, cuja estrutura molecular é visualizada a seguir, é um narcótico que causa dependência.

Supondo que a Polícia Federal fez uma apreensão e a amostra de cocaína pura foi analisada por combustão, a porcentagem aproximada de átomos de carbono, hidrogênio, nitrogênio e oxigênio, respectivamente, na molécula da cocaína, é:

Supondo que a Polícia Federal fez uma apreensão e a amostra de cocaína pura foi analisada por combustão, a porcentagem aproximada de átomos de carbono, hidrogênio, nitrogênio e oxigênio, respectivamente, na molécula da cocaína, é:
Provas
Questão presente nas seguintes provas
Leia o texto.
“Finalmente há um imperativo que, sem pôr no fundamento como condição qualquer outro objetivo a ser alcançado mediante uma certa conduta, ordena imediatamente essa conduta. Este imperativo é categórico. Ele não diz respeito à matéria da ação e ao que deve seguir-se dela, mas à forma e ao princípio do qual ela mesma decorre, e o essencialmente bom da ação consiste na disposição, seja qual for seu resultado. Este imperativo pode chamar-se de imperativo da moralidade”.
(KANT, I. Fundamentação da metafísica dos costumes. In: MARCONDES, D. Textos básicos de filosofia. 2 ed. Rio de Janeiro: Jorge Zahar, 2000)
De acordo com o trecho e as características da ética kantiana, é correto afirmar:
“Finalmente há um imperativo que, sem pôr no fundamento como condição qualquer outro objetivo a ser alcançado mediante uma certa conduta, ordena imediatamente essa conduta. Este imperativo é categórico. Ele não diz respeito à matéria da ação e ao que deve seguir-se dela, mas à forma e ao princípio do qual ela mesma decorre, e o essencialmente bom da ação consiste na disposição, seja qual for seu resultado. Este imperativo pode chamar-se de imperativo da moralidade”.
(KANT, I. Fundamentação da metafísica dos costumes. In: MARCONDES, D. Textos básicos de filosofia. 2 ed. Rio de Janeiro: Jorge Zahar, 2000)
De acordo com o trecho e as características da ética kantiana, é correto afirmar:
Provas
Questão presente nas seguintes provas
Cadernos
Caderno Container