Magna Concursos

Foram encontradas 428 questões.

Após a leitura dos períodos abaixo transcritos, analise as explicações fornecidas de I a IV para o emprego das vírgulas neles sinalizadas:
(a) Na cerimônia de abertura da Paralimpíada do Rio, a mulher e a máquina dançaram um balé em ritmo de samba, iluminadas por um feixe de luz, e o Maracanã chorou de emoção.
(b) Amy Purdy, a bela atleta americana de snowboard, esporte de inverno, exibiu seu charmoso gingado sobre próteses – ela perdeu as pernas ao contrair meningite, aos 19 anos. (Veja, 14/09/16)
I - Em (a), o uso das vírgulas é facultativo, seja para separar o adjunto de tempo seja para separar o segundo adjunto, de natureza explicativa.
II - Em (b), a primeira vírgula separa o aposto referente ao termo Amy Purdy; e as outras duas isolam o aposto referente ao termo snowboard.
III - Em (a), o emprego da primeira vírgula se deve ao deslocamento do adjunto circunstancial de tempo para o início da oração; e o das outras duas se deve à necessidade de isolar a explicação iniciada pelo adjetivo “iluminadas”.
IV - Em (b), as vírgulas são usadas para separar as duas expressões apositivas que remetem à expressão nominal Amy Purdy.
A alternativa CORRETA quanto à validade das proposições acima é:
 

Provas

Questão presente nas seguintes provas
2525747 Ano: 2016
Disciplina: Psiquiatria
Banca: UEPB
Orgão: Pref. Alagoinha-PB
Provas:
Sobre Raciocínio Diagnóstico em Psiquiatria:
 

Provas

Questão presente nas seguintes provas
2525581 Ano: 2016
Disciplina: Farmácia
Banca: UEPB
Orgão: Pref. Alagoinha-PB
Provas:
Entre os métodos abaixo, qual o mais indicado para a pesquisa do bacilo da lepra?
 

Provas

Questão presente nas seguintes provas
2525569 Ano: 2016
Disciplina: Matemática
Banca: UEPB
Orgão: Pref. Alagoinha-PB
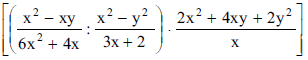
Escrevendo a expressão Enunciado 2926888-1 em sua forma mais simples encontramos
 

Provas

Questão presente nas seguintes provas
Considere a seguinte tabela-verdade:
p → q p p ^ q p v q ((p → q) v p))
V V V V ?
F V F V
V F F V
V F F F
Qual das alternativas corresponde ao resultado da operação lógica?
 

Provas

Questão presente nas seguintes provas
2525319 Ano: 2016
Disciplina: Veterinária
Banca: UEPB
Orgão: Pref. Alagoinha-PB
Provas:
Analise as proposições e assinale (V) para verdadeiro e (F) para falso.
São causas infecciosas de abortos em bovinos
( ) Herpesvírus bovino 1 (BHV1) e (BHV4).
( ) Brucella abortus e Campilobacter foetus.
( ) Plantas tóxicas e intoxicação por chumbo.
( ) Deficiência de iodo e neospora caninum.
( ) Trichomonas foetus e Aspergillus SSP.
A sequência CORRETA é:
 

Provas

Questão presente nas seguintes provas
2525293 Ano: 2016
Disciplina: Engenharia de Alimentos
Banca: UEPB
Orgão: Pref. Alagoinha-PB
Provas:
As infestações por pragas podem ocorrer em locais que favoreçam sua proliferação e onde haja disponibilidade de alimentos, portanto, as Unidades de Alimentação e Nutrição (UAN) devem desenvolver ações eficazes e contínuas de controle de vetores e pragas urbanas garantindo a segurança e adequação dos alimentos. Analise as ações preventivas e corretivas para controle de vetores e pragas urbanas e coloque (V) paras verdadeiras e (F) para falsa.
( ) Fiscalizar cuidadosamente todas as mercadorias que entram no estabelecimento, pois suas embalagens podem trazer insetos e roedores escondidos.
( ) Manter a área externa sempre limpa e sem acúmulo de lixo ou entulhos.
( ) Limpar as paredes com movimentos de cima para baixo.
( ) Manter vedados as caixas de esgoto e os ralos sifonados.
Assinale a sequência CORRETA:
 

Provas

Questão presente nas seguintes provas
2525261 Ano: 2016
Disciplina: Arquivologia
Banca: UEPB
Orgão: Pref. Alagoinha-PB
Unidade(s) Técnica(s) responsável(is) pelo recebimento, registro, distribuição, tramitação e controle de documentos:
 

Provas

Questão presente nas seguintes provas
2525241 Ano: 2016
Disciplina: Biologia
Banca: UEPB
Orgão: Pref. Alagoinha-PB
Assinale a alternativa que apresenta a associação correta entre a doença, a forma de contágio e o tipo de parasita.
DOENÇA FORMA DE CONTÁGIO TIPO DE PARASITA
 

Provas

Questão presente nas seguintes provas
Após a leitura do texto abaixo, intitulado Menos, Menos, de autoria de J. R. Guzzo e extraído de Veja - 24/08/16, responda a questão que segue:
A falta de memória do público continua sendo(b) um dos aliados mais fiéis dos meios de comunicação. O que seria dos órgãos de imprensa em geral se os leitores, ouvintes e espectadores se lembrassem, realmente, do que os comunicadores lhes dizem a cada dia, principalmente a respeito dos assuntos considerados fundamentais para o entendimento do país, do mundo e da vida? Diante da quantidade de má informação, análises desmentidas pelos fatos e julgamentos sem lógica que a “mídia” serve em todos os seus formatos, é um espanto que alguém ainda acredite na maior parte daquilo que se pública, neste Brasil e neste planeta. Mas o fato é que os consumidores de notícias e opiniões vivem esquecendo(a) os disparates que consomem – ou, caso se lembrem, não se importam em continuar consumindo(d) mais do mesmo, e levando(e) a sério o que lhes dizem os jornalistas. A Olimpíada do Rio de Janeiro ficará marcada (c) como um dos grandes clássicos nacionais desse tipo de fenômeno. Alguém ainda se lembra da catástrofe sem paralelo que os jogos seriam para o Brasil? Pois é.
No texto, o esquecimento é apontado como uma característica dos leitores. A ideia de persistência desse comportamento é sinalizada gramaticalmente através do emprego dos verbos auxiliares que integram as locuções verbais abaixo listadas, com exceção daquela que se apresenta na alternativa:
 

Provas

Questão presente nas seguintes provas