Foram encontradas 40 questões.
Em um sistema de controle de movimentos periódicos, a posição de um objeto oscilante é modelada pela equação √3 ∗ cos(x) + sen(x) = 1. Determine os valores de x ∈ ℝ que satisfazem essa equação, considerando a natureza periódica do movimento.
Provas
Questão presente nas seguintes provas
Uma fábrica utiliza uma esteira para transportar
produtos que precisam passar por um controle de
qualidade. A velocidade da esteira, em metros por
segundo, é modelada pela função f(x), onde x
representa a posição do produto ao longo da
esteira, em metros. A velocidade é definida da
seguinte maneira:
Para garantir um transporte suave dos produtos, é necessário que a velocidade da esteira não tenha variações bruscas exatamente no ponto x = 4. Calcule o valor de k que torna a função contínua.
Para garantir um transporte suave dos produtos, é necessário que a velocidade da esteira não tenha variações bruscas exatamente no ponto x = 4. Calcule o valor de k que torna a função contínua.
Provas
Questão presente nas seguintes provas
Uma empresa agrícola está estudando a
produtividade de sua plantação em função do
tempo de irrigação. A produtividade, P(t), em
toneladas por hectare, é modelada pela seguinte
função:
P(t) =〖-2t〗^3 + 〖6t〗^2 + 12t
Onde t representa o tempo de irrigação em horas. A empresa deseja determinar o tempo de irrigação que maximiza a produtividade e, se houver, identificar o tempo que corresponde à mínima produtividade dentro de um intervalo de tempo. Qual é o tempo aproximado de irrigação que maximiza a produtividade e qual é o valor máximo de produtividade?
P(t) =〖-2t〗^3 + 〖6t〗^2 + 12t
Onde t representa o tempo de irrigação em horas. A empresa deseja determinar o tempo de irrigação que maximiza a produtividade e, se houver, identificar o tempo que corresponde à mínima produtividade dentro de um intervalo de tempo. Qual é o tempo aproximado de irrigação que maximiza a produtividade e qual é o valor máximo de produtividade?
Provas
Questão presente nas seguintes provas
Um carpinteiro está construindo uma caixa de
madeira retangular e precisa calcular seu volume.
Ele sabe que a área total das superfícies da caixa
deve ser de 720 cm² para economizar material.
Além disso, a soma das três dimensões da caixa é
de 34 cm, e a diagonal de uma das faces mede 20
cm. Com essas informações, ele deseja determinar
o volume exato da caixa.
Provas
Questão presente nas seguintes provas
Calcule a integral por partes da função:
![]()
Provas
Questão presente nas seguintes provas
Dado o conjunto de pontos (1,2), (2,3), (4,6), encontre o polinômio interpolador de Lagrange que passa por esses pontos.
Provas
Questão presente nas seguintes provas
Considere a função f (x) = 3x2 - 4x +1. Calcule
a integral definida de f (x) no intervalo [1, 3].
Provas
Questão presente nas seguintes provas
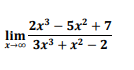
Calcule o limite da seguinte função quando x → ∞.

Provas
Questão presente nas seguintes provas
Dada a função f (x) = x3 - 4x +1, aplique uma
iteração do método de Newton-Raphson
começando por x0= 2.
Provas
Questão presente nas seguintes provas
Uma amostra aleatória de 50 idosos teve uma
média de 72 anos. Sabendo que a variância das
idades é de 64 anos. Com base nos dados construa
um intervalo de confiança de 95% para a média
populacional.
Provas
Questão presente nas seguintes provas
Cadernos
Caderno Container