Foram encontradas 193 questões.
segunda derivada da função ƒ(x) lnx2 no ponto x = 1 é:
Provas
Questão presente nas seguintes provas
Para uma esfera de raio R, qual é a opção que mostra a razão entre o volume e a área superficial?
Provas
Questão presente nas seguintes provas
A área sob a curva gerada pela função f(x)=4x3 + 3x2 - 2x, entre os pontos -1 e 3, é:
Provas
Questão presente nas seguintes provas
A alternativa que apresenta a sentença correta acerca das propriedades de matrizes transpostas e inversas, é:
Provas
Questão presente nas seguintes provas
O planeta Terra tem raio aproximado de 6300 km. Um
aluno desenhou, de forma bidimensional, o Planeta
Terra e determinou que seu raio fosse igual ao real,
entretanto, em escala. Determine a opção que mostra
a área e comprimento da circunferência desenhada
em tamanho real. Considere π = 3.
Provas
Questão presente nas seguintes provas
A opção que apresenta o valor da área do triângulo
equilátero de lado igual a 4 cm é, em centímetro
quadrado:
Provas
Questão presente nas seguintes provas
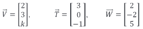
Marque a alternativa que apresenta o valor de para que o vetor
seja uma combinação linear dos vetores
e

Provas
Questão presente nas seguintes provas
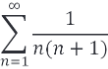
A soma
é:
Provas
Questão presente nas seguintes provas
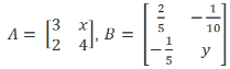
Marque a alternativa que apresenta os valores de x e y, respectivamente, para que as matrizes A e B sejam inversas.
Provas
Questão presente nas seguintes provas
Considere o sistema de equações lineares abaixo:
A alternativa que apresenta os valores de x, y e z que satisfaça o sistema é, respectivamente:
Provas
Questão presente nas seguintes provas
Cadernos
Caderno Container