Foram encontradas 651 questões.
Em uma prova com 5 questões de múltipla escolha e 4 opções de resposta em cada questão,
marque abaixo o valor da probabilidade de chutando as 5 respostas, acertar toda a prova.
Provas
Questão presente nas seguintes provas
Dada a função f(x) = 3x – 4, pode-se dizer que a sua representação gráfica é uma:
Provas
Questão presente nas seguintes provas
Dada a matriz M a seguir, determine o det(3M) e assinale a alternativa correta.


Provas
Questão presente nas seguintes provas
Dados os ângulos a e b, sabe-se que a + b = 90°. Pode-se dizer que a e b são ângulos:
Provas
Questão presente nas seguintes provas
Dado que cos
= 5/13, determine e marque abaixo o valor de sen 2
.
= 5/13, determine e marque abaixo o valor de sen 2
. Provas
Questão presente nas seguintes provas
Comprei uma mesa pentagonal que veio com cinco cadeiras diferentes. Como a mesa não pode
ser girada no local em que foi colocada e cada cadeira deve ser colocada diante de um lado reto da mesa,
marque a opção que indica o número de formas distintas que podemos colocar as cadeiras em torno da
mesa.
Provas
Questão presente nas seguintes provas
figura abaixo representa uma reta numérica dividida em partes iguais, com sentido positivo
indicado pela seta. Pode-se dizer que o número N, conforme indicado pela figura, é igual a:


Provas
Questão presente nas seguintes provas
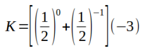
Seja K uma determinada constante obtida conforme abaixo:

Pode-se dizer que |k| + 1 é igual a:

Pode-se dizer que |k| + 1 é igual a:
Provas
Questão presente nas seguintes provas
Um determinado produto custava R$ 1.415,00 e seu preço sofreu um aumento de 4%. Logo houve
uma promoção e ofereceram um desconto de 3% no mesmo produto. Qual o valor atualizado desta
mercadoria?
Provas
Questão presente nas seguintes provas
Júlio e Rebeca resolveram juntar suas economias para poderem comprar a tão sonhada casa
própria. Nas economias de Júlio tem o equivalente a 3/8 do valor integral do imóvel. Rebeca tem a quantia
de 8/14 do dinheiro necessário para a compra da casa. Se a estes valores for acrescido o valor R$ 15.000,00
que eles têm guardado na poupança, poderão assim, comprar o imóvel que almejam. Qual é o preço do
imóvel?
Provas
Questão presente nas seguintes provas
Cadernos
Caderno Container