Foram encontradas 279 questões.
Sabendo-se que uma quantia de R$ 3.500,00 deve ser
dividida de maneira diretamente proporcional aos números
2, 3 e 5, assinalar a alternativa que apresenta a quantia
referente ao número 3:
Provas
Questão presente nas seguintes provas
O perímetro de uma circunferência é igual a 4πcm. O
valor da medida do diâmetro dessa circunferência, expressa
em cm, é igual a:
Provas
Questão presente nas seguintes provas
Na prova objetiva de um concurso, acertei 40% do total das questões, errei 30% do total e deixei 12 questões sem responder. Quantas questões objetivas acertei?
Provas
Questão presente nas seguintes provas
João está passando pelo enfrentamento de uma virose e sente muito desconforto. Para que melhore, sua mãe lhe dá um remédio em gotas, receitado pelo médico. O médico indicou 6 gotas para cada 2kg, conforme o peso de João. Sua mãe deu a João, em um copo com água, o total de 171 gotas. Quantos kg João pesa?
Provas
Questão presente nas seguintes provas
Sabe-se que o triplo de certo número somado com 5 e dividido por 2 é igual a 22. Sendo assim, assinalar a alternativa que apresenta esse número:
Provas
Questão presente nas seguintes provas
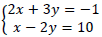
Considerando-se o sistema linear abaixo, assinalar a alternativa que apresenta os valores de x e y que satisfazem o sistema:

Provas
Questão presente nas seguintes provas
Certa torneira enche um recipiente com capacidade de 80L em 5min. Supondo-se que essa mesma torneira seja colocada para encher um recipiente com capacidade de 240L, ao todo, quanto tempo será necessário para que essa torneira encha esse recipiente?
Provas
Questão presente nas seguintes provas
Sabendo-se que a razão entre a quantidade de homens e de mulheres em certo evento é igual a 3/5, e que há um total de 400 pessoas nesse evento, ao todo, quantos homens há nesse evento?
Provas
Questão presente nas seguintes provas
A diagonal de um quadrado tem medida igual a 10√2cm. Qual é a área desse quadrado, em cm2?
Provas
Questão presente nas seguintes provas
Na figura abaixo, a altura AD do prédio é de 20 metros.
Os ângulos
e
medem, respectivamente, 60° e
45°. Os segmentos AC e AD são perpendiculares, e o ponto B pertence ao segmento AC. A distância, em metros, entre
os pontos B e C é:


Provas
Questão presente nas seguintes provas
Cadernos
Caderno Container